(r)-2-(氨乙基)-4-氯酚的应用_凯茵工业添加剂

背景及概述[1][2] (r)-2-(氨乙基)-4-氯酚是一种手性有机中间体,可由2-羟基-5-氯乙酮还原胺化…

α-甲基腈的制备_凯茵工业添加剂

背景及概述[1] α-甲基腈又叫2-基丙腈,可用来合成2-基丙酸,后者广泛应用于医药、香料和农药的合成。 制备…

广告位

广告

6,7-二氢-4(5h)-并呋喃酮的制备和应用_凯茵工业添加剂

背景及概述[1] 6,7-二氢-4(5h)-并呋喃酮是一种重要的医药中间体,其可由1,3-环己二酮与氯乙醛水溶…

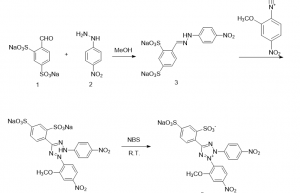
2-(2-甲氧基-4-硝基)-3-(4-硝基)-5-(2,4-二磺基)-2h-四唑单钠盐的制备_凯茵工业添加剂

背景及概述[1] 2-(2-甲氧基-4-硝基)-3-(4-硝基)-5-(2,4-二磺基)-2h-四唑单钠盐,简…

(2s-cis)-(+)-2,3-二氢-3-羟基-2-(4-甲氧基)-1,5-并硫氮杂卓-4(5h)-酮的制备_凯茵工业添加剂

背景及概述[1] (2s-cis)-(+)-2,3-二氢-3-羟基-2-(4-甲氧基)-1,5-并硫氮杂卓-4…

[1,1′-双(二基膦)二茂铁]二氯化钯二氯甲烷络合物的制备和应用_凯茵工业添加剂

背景及概述[1] [1,1′-双(二基膦)二茂铁]二氯化钯二氯甲烷络合物(pd(dppf)cl2·ch2cl2…

间氯过氧甲酸的制备方法和应用_凯茵工业添加剂

背景及概述[1-2] 间氯过氧甲酸是有机合成中常用的一种氧化剂,可氧化烯烃、羰基化合物、含氮、硫、磷、硒、碘化…

2-[2-[2-氯-3-[(1,3-二氢-1,3,3-三甲基-2h-吲哚-2-亚基)亚乙基]-1-环己烯-1-基]乙烯基]-1,3,3-三甲基-3h-吲哚4-甲基磺酸盐的制备_凯茵工业添加剂

背景及概述[1] 2-[2-[2-氯-3-[(1,3-二氢-1,3,3-三甲基-2h-吲哚-2-亚基)亚乙基]…

广告位

n-[4-(磺酰胺)基]丙烯酰胺的制备_凯茵工业添加剂

背景及概述[1-2] n-[4-(磺酰胺)基]丙烯酰胺(aspaa)单体可以均聚或与其它单体共聚合成具有药理活…

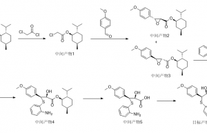
1-(4-甲氧基基)-7-氧代-6-[4-(2-氧代哌啶-1-基)基]-4,5,6,7-四氢-1h-吡唑并[3,4-c]吡啶-3-羧酸乙酯的制备_凯茵工业添加剂

背景及概述[1] 1-(4-甲氧基基)-7-氧代-6-[4-(2-氧代哌啶-1-基)基]-4,5,6,7-四氢…

联系我们

联系我们

181-3619-1160

在线咨询: QQ交谈

邮箱: 34331943@QQ.com

工作时间:周一至周五,9:00-17:30,节假日休息

关注微信
微信扫一扫关注我们

微信扫一扫关注我们

关注微博
返回顶部
首页
找样品
产品
应用
搜索