背景及概述[1]
2-(2-甲氧基-4-硝基)-3-(4-硝基)-5-(2,4-二磺基)-2h-四唑单钠盐,简称wst-8,是细胞活性检测剂cck-8试剂盒中的一种主要成分。cck-8试剂盒是日本dojindo研究所开发的用于检测细胞增殖、细胞毒性的试剂盒。该试剂盒使用方便、灵敏度高、重复性好、无放射性。但该试剂盒价格昂贵,其主要成分wst-8市售价格高。
制备[1]
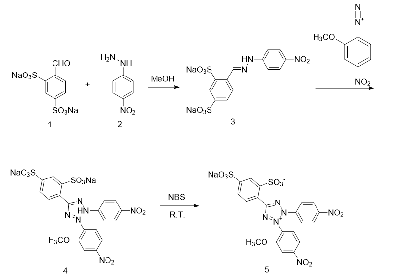
1)化合物3的制备
取化合物2(4.94g,0.0322mol)于500ml三口瓶中,加入150ml甲醇,加热搅拌至回流溶解。冷却到50℃,缓慢加入化合物1(10.0g,0.0322mol)。恒温50℃,继续搅拌2h。减压抽滤,少量甲醇洗涤,得化合物3(11.065g,0.0249mol),收率77.4%。
1h-nmr(400mhz,d2o)δh:6.83(d,2h,j=9hz),7.65(dd,1h,j=8hz,1hz),7.81(d,2h,j=9hz),7.93(d,1h,j=8hz),8.03(d,1h,j=1hz),8.31(s,1h)。
2)4-硝基-2-甲氧基重氮盐的制备
取2-甲氧基-4-硝基胺(3.7g,0.0220mol)于50ml单口瓶,-10~0℃冰浴,加入6.67ml浓盐酸用水稀释的盐酸溶液15ml。搅拌5min。然后缓慢滴加(1.64g,0.0237mol)亚硝酸钠溶于10ml水得到的溶液。加毕,继续搅拌30min。即得重氮盐溶液。备用(即制即用)。
3)化合物4的制备
取化合物3(10.0g,0.0224mol)于500ml三口瓶,加200ml甲醇,搅拌5min。然后向其中边加naoh(3.6g,0.09mol)水溶液15ml边加上述重氮盐溶液。加毕,-10~5℃冰浴搅拌2h,室温搅拌2h,此时反应体系为墨绿色。用4ml浓盐酸用水稀释的盐酸溶液8ml调至深红色。蒸干溶剂。加入200ml石油醚超声,减压抽滤,得化合物4(12.054g,0.0193mol),红棕色固体,收率86.2%。
1h-nmr(400mhz,d2o)δh:3.65(s,3h),7.42(t,4h),7.50(d,1h,j=2hz),7.69(d,1h,j=9hz),8.03(m,3h),8.33(d,1h,j=1hz)。
4)2-(2-甲氧基-4-硝基)-3-(4-硝基)-5-(2,4-二磺基)-2h-四氮唑单钠盐的制备
取化合物4(12.054g,0.0193mol)于500ml单口瓶,加120ml甲醇,呈深红棕色。搅拌5min。加入nbs(5.0g,0.0281mol)的丙酮溶液100ml。搅拌约1h,颜色变浅,继续搅拌直至反应体系呈黄色。减压抽滤,得黄绿色固体。重结晶(乙醇/水=2),真空干燥,得化合物2-(2-甲氧基-4-硝基)-3-(4-硝基)-5-(2,4-二磺基)-2h-四氮唑单钠盐(6.211g,0.0099mol),浅黄色固体粉末,收率51.6%。
1h-nmr(400mhz,d2o)δh:3.54(s,3h),7.95(m,6h),8.13(d,1h,j=8hz),8.34(m,3h);1h-nmr(400mhz,d6-dmso)δh:3.74(s,3h),7.86(m,2h),8.06(d,1h,j=2hz),8.14(d,2h,j=9hz),8.24(dd,1h,j=8hz,2hz),8.30(d,1h,j=1hz),8.54(d,3h,j=9hz)。
主要参考资料
[1]cn201210358733.3 2-(2-甲氧基-4-硝基)-3-(4-硝基)-5-(2,4-二磺基)-2h-四唑单钠盐的合成方法




