3,3-二氯-1-(4-硝基基)-2-哌啶酮的制备_凯茵工业添加剂

背景及概述[1] 3,3-二氯-1-(4-硝基基)-2-哌啶酮是一种重要的医药中间体,如其可用于制备阿哌沙班衍…

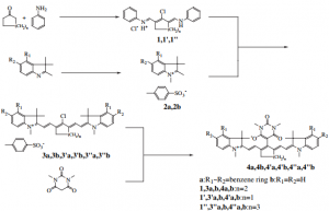
ir-813对甲基磺酸盐的制备和应用_凯茵工业添加剂

背景及概述[1-2] ir-813对甲基磺酸盐是一种花菁染料,属于红外吸收剂。有文献报道ir-813对甲基磺酸…

广告位

广告

(2r,3s)-3-(甲酰基氨基)-2-羟基丙酸乙酯的制备_凯茵工业添加剂

背景及概述[1] (2r,3s)-3-(甲酰基氨基)-2-羟基丙酸乙酯是一类重要的合成中间体,可以用来合成抗癌…

3,3’5,5′-四甲基联双酚二缩水甘油醚的制备_凯茵工业添加剂

背景及概述[1][2] 电子材料是发展微电子工业的基础,作为生产集成电路的主要结构材料——环氧塑封料随着芯片技…

2-溴-3′-氯丙酮的制备_凯茵工业添加剂

背景及概述[1][2] 利莫那班是一种新型减肥药,2-溴-3'-氯丙酮是合成利莫那班的关键中间体,目…

2-溴-1-氯-4-三氟甲氧基的制备_凯茵工业添加剂

背景及概述[1-2] 2-溴-1-氯-4-三氟甲氧基是一种医药中间体,可由2-溴-4-(三氟甲氧基)胺重氮化后…

3-氨基-4-氯甲腈的制备_凯茵工业添加剂

背景及概述[1-2] 3-氨基-4-氯甲腈是一种医药中间体,可由对氯苄腈硝化得到4-氯-3-硝基苄腈,然后再还…

2-溴-5-甲氧基基硼酸的制备_凯茵工业添加剂

背景及概述[1] 2-溴-5-甲氧基基硼酸可用作医药合成中间体,可由3-甲氧基基硼酸与三膦硫化物、n-溴琥珀酰…

广告位

3-硝基基的制备和应用_凯茵工业添加剂

背景及概述[1] 3-硝基基可用作医药合成中间体,其可由3-硝基基与乙醇发生酯化反应制得,可作为原料制备2-[…

1-溴-3-氟-5-吡咯烷的制备和应用_凯茵工业添加剂

背景及概述[1] 1-溴-3-氟-5-吡咯烷是一种医药中间体,可由1-溴-3,5-二氟与吡咯烷亲核取代后制备得…

联系我们

联系我们

181-3619-1160

在线咨询: QQ交谈

邮箱: 34331943@QQ.com

工作时间:周一至周五,9:00-17:30,节假日休息

关注微信
微信扫一扫关注我们

微信扫一扫关注我们

关注微博
返回顶部
首页
找样品
产品
应用
搜索