n-叔丁基-2-并噻唑次磺酰胺的制备_凯茵工业添加剂

背景及概述[1] n-叔丁基-2-并噻唑次磺酰胺是一种常用的后效性促进剂,在操作温度下,非常安全,耐焦烧性好,…

间二甲酸二甲酯的制备和应用_凯茵工业添加剂

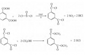
背景及概述[1] 间二甲酸二甲酯是白色针状结晶,溶于甲醇、乙醇,不溶于水,用于有机合成,作气相色谱固定板。间二…

广告位

广告

四氢酐的制备和应用_凯茵工业添加剂

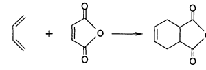
背景及概述[1] 四氢酐又叫四氢邻二甲酸酐。四氢酐有顺、反异构体,反式异构体又有d-及dl-两种旋光异构体。顺…

(+)-去福林盐酸盐的制备_凯茵工业添加剂

背景及概述[1] (+)-去福林盐酸盐,或名盐酸去福林,学名间羟基乙醇胺盐酸盐,英文名norfenefrine…

2,2′-二(三氟甲基)二氨基联的制备_凯茵工业添加剂

背景及概述[1] 2,2'-二(三氟甲基)二氨基联又叫2,2'-二(三氟甲基)-4,4&#…

2-硝基-5-氯胺的制备和应用_凯茵工业添加剂

背景及概述[1] 2-硝基-5-氯胺是一种重要的医药、兽药中间体,目前已在兽药阿达唑的升级换代品—芬达唑得到应…

3,5-二羟基戊的制备和应用_凯茵工业添加剂

背景及概述[1-2] 3,5-二羟基戊是一种重要药物中间体,早是通过降解地衣植物中提取出来的地衣酸(又名d-松…

5-氨基-2-硝基三氟的制备和应用_凯茵工业添加剂

背景及概述[1-2] 5-氨基-2-硝基三氟是一种有机中间体,可由间氯三氟通过两步制备得到。有文献报道可用于制…

广告位

5-氯-2-羟基乙酮的制备和应用_凯茵工业添加剂

背景及概述[1] 5-氯-2-羟基乙酮可以硝化制备5-氯-2-羟基-3-硝基乙酮。5-氯-2-羟基-3-硝基乙…

n-(3-甲基基)-4-(4-吡啶)-2-噻唑胺的制备_凯茵工业添加剂

背景及概述[1] n-(3-甲基基)-4-(4-吡啶)-2-噻唑胺属于4-吡啶基-2-胺基噻唑(pat)类化合…

联系我们

联系我们

181-3619-1160

在线咨询: QQ交谈

邮箱: 34331943@QQ.com

工作时间:周一至周五,9:00-17:30,节假日休息

关注微信
微信扫一扫关注我们

微信扫一扫关注我们

关注微博
返回顶部
首页
找样品
产品
应用
搜索