背景及概述[1]
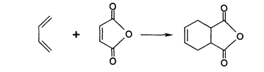
四氢酐又叫四氢邻二甲酸酐。四氢酐有顺、反异构体,反式异构体又有d-及dl-两种旋光异构体。顺式体从或石油英中析出者为白色片状结晶,反式dl-体从和石油混合液中析出者为白色立方晶体,反式体加热至200℃,转变为顺式体。其用途:醇酸树脂改性剂用单体,用本品改性后,使涂料的粘附性、弹性、光泽、耐水性、耐盐水性均大大改善。用作环氧树脂固化剂,可制得在高温下有优良电特性的产品。制造不饱聚酯改性用单体的二羟基酸单体,这种改性单体可提高粘接性及耐水性。
制备[3]

将100g顺酐加热至熔化,加入0.3g对二酚(阻聚剂)和0.5g五氧化二磷(异构化催化剂),将混合碳四以1.0g/min的速度通入顺酐熔液中,保持反应温度100-105℃;用气相色谱跟踪分析反应混合物的成分变化,当顺酐含量降为零后,提高反应温度至160℃,继续反应2小时;减压蒸馏,收集120-140℃/5mmhg的馏分,得无色透明液体133g,纯度99.2%,收率85%,凝固点<15℃。
应用[2]
cn201410538834.8报道了一种直接涂覆使用的柔性导电胶及制法,其由15-20wt%柔性环氧、3-8wt%固化剂、0.1-0.5wt%促进剂、0.1-0.5wt%偶联剂、65-80wt%银粉和0.2-10wt%柔性一维纳米导电材料组成;柔性环氧为接枝了乙烯-醋酸乙烯共聚物软段的双酚a环氧树脂和脂肪族缩水甘油醚环氧树脂的混合物;固化剂为甲基六氢邻二甲酸酐、甲基四氢邻二甲酸酐、四氢酐中一种或几种;促进剂为咪唑类化合物;偶联剂为kh550、kh560和kh570中一种或几种;柔性一维纳米导电材料为碳纳米管或导电金属纳米线;具有优异导电性能和良好柔韧性,经多次弯折后,导电性能几乎没有变化,可满足柔性电子产品需求。
参考文献
[1]实用精细化工辞典
[2]cn201410538834.8一种直接涂覆使用的柔性导电胶及其制备方法
[3][中国发明,中国发明授权]cn200410010078.8一种生产液体四氢酐的新方法【公开】/一种生产液体四氢酐的方法【授权】



