背景及概述[1][2]
4-氯胺(4-氯胺4-氯胺)是一种熔点为341~344k,沸点为505k,易溶于乙醇、、丙酮和二硫化碳的白色或黄色结晶。4-氯胺4-氯胺是精细化工生产中的一种重要的原材料,广泛应用于合成医药、农药、橡胶和日用化工等领域,其需求量随着化学工业的发展与日俱增。目前,大部分4-氯胺都是由对氯硝基还原制得,还原方法主要有金属还原法、电化学还原法、非氢还原剂还原法、催化加氢还原法等,其中催化加氢还原法工艺先进,收率高,更符合 现代化工对原子经济性的要求;其中贵金属催化加氢法占主要地位,过去主要采用高温高压下的多相催化还原法,但由于高温下微晶在载体表面易聚集,影响其分散性,进而影响催 化剂催化活性,近年来低温低压下的多相催化逐渐吸引科研工作者的兴趣。催化加氢法的关键点是如何控制反应的选择性,防止脱氯副反应的发生。
应用[3]
4-氯胺是精细化工生产中的一种重要的原材料,广泛应用于合成医药、农药、橡胶和日用化工等领域,其需求量随着化学工业的发展与日俱增。如在染料行业中,4-氯胺4-氯胺 是合成染料和色酚 as-lb 的重要中间体;在医药行业中,4-氯胺4-氯胺 是合成非那酊、利眠宁等药物的中间体;此外,4-氯胺4-氯胺还可以用来生产杀菌剂、聚氨酯树脂交联剂和彩色电影胶片成色剂等。
制备 [2-3]
1. 金属粉还原
铁粉还原法是早采用的还原硝基化合物的方法,也是使用较广的一类还原方法。在一定条件下,电动势排在氢气以前的金属都可以用来还原 p-cnb 加氢制备 4-氯胺4-氯胺,如 k、ca、al、zn、fe 等。在所有金属中,考虑到成本问题,铁粉是用得多的金属,其在酸性介质中还原 p-cnb 的反应式如下:

该方法易于操作、产物选择性好、工艺比较成熟;但是酸性条件对设备要求较高、含酸废水、废渣的排放会对环境造成严重污染。为克服上述缺点,研究者发现了几种能够替代 fe 粉的还原剂。在酸性介质 hcl 水溶液中使用 al 粉作还原剂能把邻、间、对溴硝基还原为邻、间、对溴胺,al 粉的氧化产物为 al2o3。用 zn 粉作还原剂还原 2,4-二硝基氟制备 2-氟-5-硝基胺,发现当 zn 粉的物质的量为反应物的物质的量的 4 倍时,在乙醇作溶剂,温度为 323-333k 的条件下反应 3h,产物 2-氟-5-硝基胺的收率为 70.1%。
2. 硫化碱还原法
硫化碱还原法适用于含有与酸容易发生反应的基团的硝基化合物的催化加氢反应,以 na2s、na sh 和 na2s2(有时也用 h2s 或 fe s)为还原剂,在
h2o 存在条件下还原硝基化合物的方法。以 na2s2还原 p-cnb 为例,其反应式如下:

在弱碱性环境中,氢气压力为 100-200k pa 条件下,使用 h2s 作还原剂还原卤代硝基,制得相应的卤代胺。使用 na2s2作还原剂还原对氯邻硝基酚,产物对氯邻氨基酚的收率为 72 %。由于硫化碱是一种弱酸强碱盐,因此有在碱性介质中反应的硝基化合物才能使用此方法还原。该方法与铁粉还原法相
比,具有实验条件温和,还原剂与反应产物易于分离,对反应器腐蚀较小等优点;
但硫化碱类的价格较高、产品收率不高、反应中仍有大量废液产生,污染环境。
3. 水合肼还原法
水合肼(n2h4)还原法是一种较为普遍使用的还原方法,n2h4还原卤代硝基是一个较为特殊的过程,即 n2h4在催化反应过程中会分解出氢气n2h4本身不具备还原性能,但是在催化剂存在的条件下,能将卤代硝基还原为相应卤代胺,反应方程式如下:

n2h4只有在助催化剂存在的条件下才会分解出氢气。所以该反应在低温、低压的条件下就能进行,并且具有较好的产物选择性;但是 n2h4本身具有剧毒、价格昂贵、不易存储等缺点,使其在工业应用方面受到很大的限制。
4. 电化学还原法
4-氯胺4-氯胺 也可以由 p-cnb 通过电化学还原的方法制得。直接电还原法和间接电还原法是两种经常使用的电化学还原方法。在直接还原法中起还原作用的物为电子;而在间接还原法中,起还原作用的物种为被还原之后的金属离子。电化
学还原法通常是在酸性电解质中进行的,较常使用的阳极填充物为铜电极。电化
学还原 p-cnb 的反应过程如下:

通过电化学还原将 p-cnb 还原为 4-氯胺4-氯胺,使用 cu 电极为阳极,pd 或
pd-ag 合金电极为阴极,在阴极和阳极两个电极之间装有一个细孔隔膜。电化学还原反应在温度为 343-363k,电流≤200a/dm2的条件下进行在乙-酸性介质混合电解液中,阳极为 pt 电极,阴极为 cu 电极,温度为 343k 下,电解还原 p-cnb 制备 4-氯胺4-氯胺,所得产物的产率为 84.6%。这种方法虽然具有反应过程简单,产物选择性高,环境友好,反应条件易于控制等特点。但是在用于大规模工业化生产的过程中,需要克服很多技术难题以及耗能高、缺少定型装置的缺点。除此之外,传质过程的控制、隔膜使用寿命及阴、阳两极电极活性等也是很难解决的应用难题,目前该方法只应用于实验室研究以及规模不大的工业化生产。同时,我国电力资源紧缺也制约了电化学还原法的发展。
5. co/h2o 还原法
co/h2o 还原法是以羰基配合物作催化剂,将卤代硝基还原为相应的卤代胺的方法。在 co 存在条件下,羰基配合物催化剂催化还原 p-cnb 的反应方程式如下:

在碱性条件下,使用 fe(co)5作催化剂首次成功的将p-cnb 还原为 4-氯胺4-氯胺。 co 在 ru3(co)9(tppts)3作催化剂的条件下还原邻氯硝基(o-cnb)的反应,在反应条件经过优化后,邻氯胺(o-can)的选择性明显升高,达到 99%以上。co 催化还原法具有操作简单、反应条件易控制、产物选择性好、原料丰等优点,已引起国内外研究者的广泛关注。目前,co 在催化剂存在条件下还原卤代硝基制备相应卤代胺的过程对催化剂的需求量很大,加上催化剂在这一过程回收困难、在反应过程中容易失活。因此,只有减少催化剂的用量,提高催化剂的使用寿命,co 还原法才能实现大规模的工业应用。
6. 光化学还原法
光催化还原法是一种新兴的还原卤代硝基的方法,在还原过程中,主要是
光生电子起还原作用。这种还原法反应条件温和、产物收率较高,但是需要使用
特殊的反应装置。使用 i-proh 作溶剂,hcooh 作空穴清除剂,在pyrex
玻璃反应器中进行光催化反应。当溶剂与清除剂的体积比为 9:1 时,在常温下用 300nm 以上的紫外光照射 p25tio2与 p-cnb 的悬浮液 12h,产物 4-氯胺4-氯胺 收率高达 99.2%。
7. 催化加氢还原法
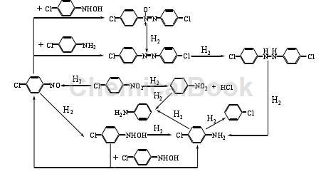
催化加氢还原法是指在催化剂存在下以 h2作为还原剂还原卤代硝基化合物的方法。该方法对环境污染小、产物选择性高。现在工业上大多采用这种方法还原卤代硝基来制备相应的卤代胺。根据反应底物所处状态的不同,催化加氢法可以分为气相加氢法及液相加氢法两类。气相加氢法的反应物为气态,实际上为气—固反应,这种方法适用于在较低温度下容易发生气化的硝基化合物的还原。液相加氢法是将反应物溶解在液相溶剂中,一般使用固态催化剂,在还原剂为氢气的条件下还原硝基化合物的方法,它的实质是气—液—固三相反应。根据所使用的催化剂性质的差异,液相催化加氢法又可以细分为均相催化加氢法和非均相催化加氢法。均相催化一般采用金属配合物催化剂,但是其价格相对昂贵,而且产物与催化剂互溶,不易于产物从反应体系中的分离,从而使其只能用于实验室研究。目前,在工业生产中大规模采用非均相催化过程来还原硝基化合物。p-cnb催化加氢制备 4-氯胺4-氯胺 是一个十分复杂的过程,此过程主要包括硝基还原为亚硝基和氨基、脱氯反应的发生、反应中间产物对氯亚硝基和 4-氯胺4-氯胺 以及对氯基羟胺之间的两分子缩合反应。缩合反应产生的副产物经过进一步加氢终会转化为4-氯胺4-氯胺,对 4-氯胺4-氯胺 的产率没有影响。然而,脱氯副产物的产生,在降低 4-氯胺4-氯胺选择性的同时生成的 hcl会严重腐蚀反应器。所以脱氯副反应是影响 p-cnb 催化加氢制备 4-氯胺4-氯胺 的关键因素,要想使 4-氯胺4-氯胺 的收率提高必须有效的抑制脱氯副反应的发生。p-cnb 催化加氢制备 4-氯胺4-氯胺 的反应式如下:

目前,能有效抑制 p-cnb 加氢脱氯的方法主要有两种:一是在反应体系中添加脱氯抑制剂,如吗啉、p kb<3 的有机胺、噻吩等,也可以通过选择适当的工艺来尽量避免加氢脱卤的发生。对催化剂进行毒化处理或者改性也可以起到抑制脱卤的作用。脱氯抑制剂主要是通过改变催化剂表面金属的电子结构,来达到抑制 p-cnb 加氢脱氯的目的。在以骨架 ni 和 5%pd/c 作催化剂条件下,在反应体系中加入噻吩作为脱氯抑制剂,使用甲醇作溶剂还原几种二氯硝基,在适宜的温度和压力条件下,制得相应二氯胺的选择性均高达 99%。ni 作催化剂催化 p-cnb 加氢,脱氯抑制剂为(cne),在温度和压力分别为 333k 和 0.6mpa 的条件下,反应 165min 后,产物 4-氯胺4-氯胺 的选择性为99.2%。虽然加入脱氯抑制剂可以提高产物的选择性,但是同时也会使催化反应活性降低,脱氯抑制剂的性质和用量对目标产物的选择性有很大影响。并且,脱氯抑制剂的加入使目标产物从反应体系中的分离变得更加困难。
主要参考资料
[1] 介孔tio_2负载pt_fe_催_省略_氯硝基选择加氢制4-氯胺的研究
[2] 4-氯胺的制备方法
[3] cn201711340016.7一种对氯硝基选择性加氢制备4-氯胺的方法



