背景及概述[1]
4-环己基-3-三氟甲基甲酸是一种有机中间体,可用于制备化合物n-(4-环己基-3-三氟甲基-苄氧基)-乙亚氨酸乙酯。n-(4-环己基-3-三氟甲基-苄氧基)-乙亚氨酸乙酯是合成药学上活性化合物1-{4-[1-(4-环己基-3-三氟甲基-苄氧基亚氨基)-乙基-苄基(benxyl)}-氮杂环丁烷-3- 羧酸(“化合物a”)的中间体。化合物a是可用于治疗免疫疾病例如多发性硬化的鞘氨醇-1- 磷酸酯(“s1p”)调节剂。
制备[1]
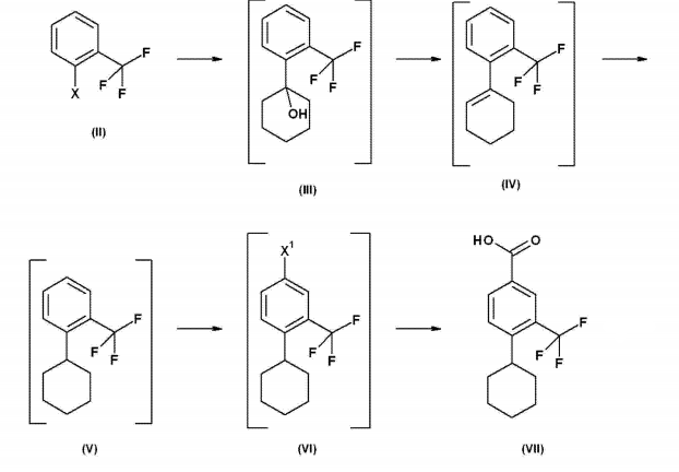
合成1-环己-1-烯基-2-三氟甲基-
将溶于200mlthf的异丙基氯化镁-licl络合物(1.3m)在氩气中室温下置于干式反应器并冷却至it=5-10℃。然后在1小时(h)内加入27.5ml2-溴三氟,保持it在5-10℃。所得混合物在it=5-10℃下搅拌1小时。随后,通过蒸馏出thf且同时加入120ml庚烷进行从thf到庚烷的溶剂替换,保持反应体积不变。在1小时内向所得混悬液加入23.1ml环己酮,保持it于15-25℃。所得乳液在it=15-25℃下搅拌1-2小时。结束后,通过在it=20-30℃下加入147gh2so410%来淬灭反应。分离所述相,用14.2ml庚烷萃取水相且用13.5ml水洗涤合并的有机相。有机相浓缩至120ml体积并在1小时内加入42.1gh2so490%,保持it于20-25℃。高速搅拌所得混合物,直到化合物iii向化合物iv的转变完成。然后分离所述相,用10ml庚烷萃取相。向合并的有机相加入1.46g钠、1g硅胶、1g炭和1ml水。所得混合物在覆盖有cellflock的吸滤器上过滤且蒸发滤液至干燥,产生35.4g1-环己-1-烯基-2-三氟甲基-,其不需进一步纯化即被用于合成1-环己基-2-三氟甲基-1h-nmr(400mhz,dmso-d6):δ1.5-1.7(4h,m),2.1-2.2(4h,m),5.51(1h,m),7.29(1h,d),7.44(1h,t),7.59(1h,t),7.68(1h,d)ms:(es-):226(m+)。
合成1-环己基-2-三氟甲基-
在氢化反应器中,将8.45g1-环己基-2-三氟甲基-溶于42ml甲醇。加入1.33g水湿润钯碳10%,且用氢气在it=40℃和1-5bar下氢化反应混合物直到停止吸氢。在hyflo上过滤后,蒸发滤液至干燥并脱气。加入庚烷(40ml)且再次蒸发混合物至干燥并脱气。由此产生7.64g轻微混浊黄色油状的1-环己基-2-三氟甲基-,其不需进一步纯化即被用于合成4-溴-1-环己基-2-三氟甲基-。1h-nmr(400mhz,cdcl3):δ1.35-1.9(10h,m),2.85-3(1h,m)7.2-7.3(1h,m)7.4-7.5(2h,m),7.55–7.65(1h,m)。
合成4-溴-1-环己基-2-三氟甲基-
在20-25℃下将1-环己基-2-三氟甲基-(38.8g)溶于126.4三氟。然后,将溶液冷却至it=0-5℃并加入17.19gh2so4(ca96%)。在it=0-5℃下于1-2小时内向所得橙色混悬液分6份加入26.73g1,3-二溴-5,5-二甲基乙内酰脲。后一次添加30分钟后,进行过程质量控制并根据需要加入更多1,3-二溴-5,5-二甲基乙内酰脲。溴化反应完成后,加入67.5g庚烷且搅拌所述混合物5-10分钟(min.),然后在it=20-25℃下分离相。用33.8ml庚烷再次萃取下层无机相。用57.85g溶于水的10%亚氢钠、然后用55.4g2nnaoh,再3次用41g水萃取合并的有机相。向有机相加入炭(0.61g)且在室温搅拌所述混合物1小时。过滤后,通过各向同性蒸馏(isotropicdistillation)干燥滤液并将其蒸发至干燥。由此产生49.6g黄色油状的4-溴-1-环己基-2-三氟甲基-,其不需进一步纯化即被用于合成4-环己基-3-三氟甲基-甲酸。1h-nmr(400mhz,dmso-d6):δ1.2-1.9(10h,m),2.76(1h,t),7.55-7.61(1h,d),7.76.7.85(2h,m)。
合成4-环己基-3-三氟甲基甲酸
在干燥容器中,将61.4g4-溴-1-环己基-2-三氟甲基-在氮气下溶于230ml四氢呋喃。在15-30分钟内加入溶于四氢呋喃(thf)的异丙基氯化镁(2m,36.1ml)。然后,将所述反应混合物冷却至it=-5-+5℃,并在1-2小时内从加料漏斗加入88ml溶于己烷的1.6m丁基锂,使it保持于-5-+5℃。在it=-5-+5℃下于1-2小时内向该溶液加入17.6gco2。反应完成后,通过逐滴加入160ml2mh2so4来淬灭反应,保持it于-5-20℃。分离所述相,有机相用100ml水洗涤2次并浓缩至约(大约)160ml体积。将溶剂改变为。随后将溶液体积调整至约180ml并加热,直到获得澄清溶液。冷却到0℃后,4-环己基-3-三氟甲基-甲酸结晶出来并通过过滤分离,然后在真空烘箱中60℃干燥过夜。由此产生白色结晶固体的4-环己基-3-三氟甲基-甲酸,hplc测得的纯度>99%(f)且熔点为206.7-208℃。1h-nmr(400mhz,dmso-d6):δ1.2-1.8(10h,m),2.85(1h,m),7.7-8.1(3h,m),13.31(1h,s)ms:(es-):271(m-1).
参考文献
[1][中国发明,中国发明授权]cn201380007968.0制备n-(4-环己基-3-三氟甲基-苄氧基)-乙亚氨酸乙酯的方法【公开】




