背景及概述[1-2]
卤代甲酸及其衍生物是一类重要的化工和医药中间体,被大量用做生产杀菌剂、杀虫剂、染料和药物的原料,3,5-二氯甲酸就是其中一种。2,3-二氯甲酸是合成特效抗癫痫药拉莫三嗪(lamotrigine)即3,5-二氨基-6-(2,3-二氯基)-1,2,4-三嗪及其它治疗中枢神经紊乱的药物如2,4-二氨基-6-(2,3-二氯基)嘧啶的关键中间体。
制备[1-2]
报道一、

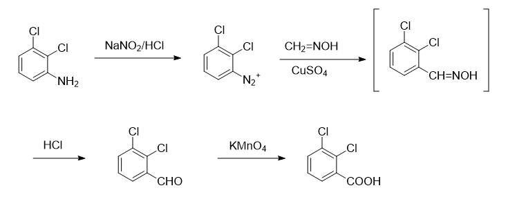
1、2,3-二氯甲醛的合成
往500ml三颈瓶中加入2,3-二氯胺16.2g(0.1mol)、60ml水和30ml浓盐酸,生成白色固体,搅拌下加热回流直至固体全部溶解,得橙色透明溶液,用冰盐浴冷却至0~5℃,期间析出粉红色沉淀,滴加由7g亚硝酸钠和10ml水配成的溶液,控制温度在0~5℃,滴加完毕,继续搅拌15min,加入9.8g水合溶于16ml水的溶液,至溶液对刚果红试纸呈中性。重氮盐溶液冷却待用。另在1000ml三颈瓶中加入4.6g多聚甲醛、10.5g盐酸羟胺和68ml水,搅拌下加热至固体全溶(此过程约需20min),然后加入20.4g水合,加热回流15min,制得w(甲醛肟)=10%的水溶液。向甲醛肟溶液中加入2.6g铜水合物、0.4g亚氢钠、32g水合和12.5g碳酸钠在72ml水中的溶液,用冰浴维持温度在10~15℃,快速搅拌下,滴加重氮盐溶液。继续搅拌1h,加入92ml浓盐酸,加热至回流2h,然后进行水蒸汽蒸馏,直到无2,3-二氯甲醛蒸出,收集馏液(约800ml)。冷却后,过滤得淡黄色粗品。向装有冷凝管、滴液漏斗和温度计的100ml三颈瓶中加入36mlw(亚氢钠)=40%的水溶液,磁力搅拌,水浴加热至60℃,将2,3-二氯甲醛粗品用适量的四氢呋喃溶解,滴加至体系中,保持反应温度60℃,期间有白色固体生成,滴加完毕,搅拌0.5h后,关掉冷凝水,继续搅拌1h,静置过夜,析出大量白色固体。抽滤,将固体用无水(30ml×2)洗涤,转移至250ml的三颈瓶中,加入100ml水和16ml浓,搅拌下加热至回流2h,水蒸汽蒸馏得白色晶体2,3-二氯甲醛7.9g,收率为48%,m.p.:66.4~67.2℃,含量99%以上(气相色谱)。文献收率32.6%,m.p.:64~67℃。
2、2,3-二氯甲酸的合成
向装有机械搅拌、滴液漏斗的500ml三颈瓶中加入2,3-二氯甲醛8.7g(0.05mol)和180ml水,加热至70~80℃,搅拌下,于20min之内滴加11.3g高锰酸钾于225ml水配成的溶液,滴毕,加热搅拌1h,加入w(koh)=10%的水溶液,使反应液ph=11~12,过滤,用热水洗涤3次,合并滤液和洗涤液,冷却,过滤,将滤液用盐酸酸化至无固体析出为止,抽滤,得粗品,将所得粗品溶于150ml左右w(naoh)=5%的水溶液中,加入1g活性炭煮沸10min,趁热过滤,将滤液用浓盐酸酸化至ph=2,析出较多白色晶体,冷却后过滤,烘干,得白色产品2,3-二氯甲酸9.0g,收率为94%,m.p.:167.9~168.8℃(文献值[1]:167~169℃),纯度99.6%(气相色谱),两步总收率45%。ir(kbr压片),νmax/cm-1:3002(宽峰,羧基缔合νoh),1694(羧酸νc=o);ms,m/z:190.8(m+),188.8,189.8,192.8,144.8,145.8,146.8,148.8。
报道二、
100.0g腈(含量99%)中,分别加入300g三氯甲烷、100g乙醇,再投入1209.4g次氯酸钠(含量13%),用37%的盐酸保持体系ph值为3.0-4.0,在55-60℃下,反应至3,5-二氯腈中控含量为99.5%,然后在常压下,加30%氢氧化钠,使反应体系ph值保持在12-13,80-90℃保温反应2.5h后,再用37%盐酸酸化至体系ph值为1.0,在50-60℃下,反应1.0h,再过滤,90-110℃下烘干,即得182.5g含量为99.0%的3,5-二氯甲酸。
应用[3]
cn201410495742.6公开了一种阻燃环氧树脂复合材料及其制备方法。该复合材料包括重量份计的环氧氯丙烷100~200份、二酚基甲烷200~220份、碳酸钾50~90份、5-氯-n-甲基靛红酸酐100~180份、2,3-二氯甲酸40~100份、n-甲基-4-氨基酚盐60~200份、对甲氧基乙胺20~40份、4-氨基丁酸150~200份、有机磷类阻燃剂100~280份、聚偏磷酸40~120份、增塑剂40~80份。制备方法是:称取环氧氯丙烷、二酚基甲烷、5-氯-n-甲基靛红酸酐、2,3-二氯甲酸投入容器中充分混合均匀,再投入剩余组分,继续混合均匀,然后转入开炼机热混合,经拉片、冷却和粉碎。本发明弯曲强度大于200mpa,热变形温度大于280℃,绝缘电阻大于1.7×1014ω,阻燃性达到v-0等级,具有优异的阻燃性能。
参考文献
[1]廖齐,邓洪.2,3-二氯甲酸的合成研究[j].精细化工中间体,2006(04):18-20.
[2][中国发明,中国发明授权]cn201310184468.6一种合成3,5-二氯甲酸的方法
[3]cn201410495742.6一种阻燃环氧树脂复合材料及其制备方法



