背景及概述[1]
西格列汀(sitagliptin),化学名为(2r)-4-氧代-4-[3-三氟甲基-5,6-二氢[1,2,4]三唑[4,3-a]吡嗪-7(8h)-基]-1-(2,4,5-三氟基)-丁-2-胺,它是美国默克(merck)公司研发的二肽基肽酶-ⅵ(dpp-ⅵ)抑制剂的个产品。2006年10月,其磷酸盐一水合物作为首个二肽基肽酶-ⅵ(dpp-ⅵ)抑制剂被美国fda批准上市,临床用于治疗2型糖尿病。该药的优点是不良反应少,低血糖风险低和不引起体重增加。现有技术中,西格列汀杂质13是合成西格列汀的中间体化合物,进一步生成烯胺化合物后,经不对称催化的方法可以进一步制备得到手性胺中间体,然而,收率偏低。并且,经重复该篇专利的技术,发现反应根本无法进行。
制备[1]
西格列汀杂质13制备如下:

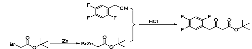
1)1000ml三口烧瓶中加入四氢呋喃(450g)和锌粉(46.09g,704mmol),启动磁力搅拌。氮气保护下滴入三甲基氯硅烷(3.8g,35mmol),升温至40~45℃,搅拌。氮气保护下于40~45℃滴加溴叔丁酯(78.0g,400mmol)和四氢呋喃(150g)的混合溶液,滴完。氮气保护下向反应液中加入2,4,5-三氟乙腈(40.0g,234mmol),40~45℃反应。反应结束后,过滤,滤饼用四氢呋喃(100g)淋洗。滤液中滴加入10%盐酸水溶液(200ml),搅拌。30~35℃减压蒸馏,冷凝管中没有馏分时停止蒸馏。残余物中加入二氯甲烷(300ml),搅拌。分层,取下层有机相,弃上层水相。有机相用10%氯化钠水溶液洗涤后,无水钠干燥。过滤,滤液减压浓缩至干,得桔黄色油状物(64.40g,223.4mmol),即酮叔丁酯化合物,摩尔收率95.5%,纯度99%。

2)100ml单口烧瓶中加入二氯甲烷(50ml)和实施例7制备得到的酮叔丁酯化合物(2.7g,9.37mmol),搅拌溶解。于10~15℃加入三氟(5.0ml,67.31mmol)后升温至25~30℃搅拌反应。反应完全,加入水,搅拌。分层,取下层有机相,弃上层水相。有机相加入5%氯化钠水溶液洗涤后于30~40℃减压浓缩至干,得类白色固体(2.0g,8.61mmol),即酮酸化合物,摩尔收率91.94%。

3)250ml三口瓶中加入二氯甲烷(100ml)和实施例8制备得到的酮酸化合物(10.0g,43.07mmol),搅拌溶解。于10~15℃滴加草酰氯(6.56g,51.68mmol),滴加完成,升温至30~35℃搅拌反应。反应完全,于30~40℃减压浓缩至干得淡黄色液体(10.91g,43.64mmol),250ml三口烧瓶中加入二氯甲烷(100ml),三乙胺(5.79g,57.24mmol)和上述淡黄色液体(10.0g,52.04mmol),搅拌溶解。降温至0~5℃滴加式a化合物的游离碱(13.0g,52.04mmol)/二氯甲烷(20ml)溶液,滴加完成,滴加完成后升温至10~15℃搅拌反应。反应完成,加入水,搅拌。分层,取下层有机相,弃上层水相。有机相加入5%氯化钠水溶液洗涤后于30~40℃减压浓缩至干,得类白色固体西格列汀杂质13 (19.24g,47.36mmol),即酮酰胺化合物,摩尔收率91%。
主要参考资料
[1] cn201711403311.2 一种西格列汀中间体的制备方法



