背景及概述[1]
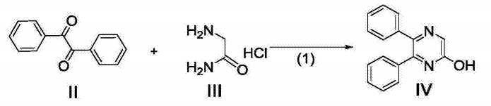
5,6-二基-2-羟基吡嗪是一种医药中间体,可由联甲酰与氨基乙酰胺盐酸盐一步制备得到。有文献报道5,6-二基-2-羟基吡嗪可用于制备ip受体激动剂(化合物i)。ip受体激动剂可以治疗的疾病主要有肺动脉高压(pah),与各种病相关的pah、动脉硬化闭塞症、冠状动脉病、心肌梗塞、短暂性缺血发作、绞痛、中风、缺血再灌注损伤、再狭窄、心房纤维性颤动、间歇性跛行、雷诺现象、静脉曲张、血栓症、糖尿病、糖尿病性肾病、高血压、高血脂、脑梗塞、类风湿性关节炎、慢性阻塞性肺疾病(copd)等。

制备[1]

在氮气保护下,将联甲酰(2.10g,0.01mol)、氨基乙酰胺盐酸盐(1.32g, 0.012mol)和naoh(0.96g,0.024mol)依次加入到20ml甲醇溶剂中,加热回流3~4h,通过lc-ms监控反应,原料反应完全。将反应液冷却到0~5℃,然后滴加12n hcl(1.25ml)溶液,并在 室温下搅拌反应液30min后,加入1g碳酸氢钠和13ml水,过滤反应液,用水(5ml)和甲醇 (5ml)分别洗涤固体,真空干燥得到2.20g的白色固体5,6-二基-2-羟基吡嗪,收率:88.7%, esi-ms:m/z=249.2(m+h)+。
主要参考资料
[1] [中国发明] cn201810877296.3 一种二吡嗪化合物的制备方法



