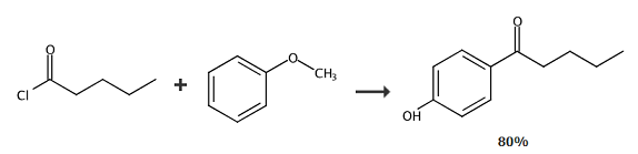
概述[1][2]
对羟基戊酮又叫4-正戊酰基酚,是一种有机中间体和医药中间体,可用于制备酰基氧类化合物。可由酚和正戊酰氯一步制备得到。
制备[1-2]
报道一、

取酚(0.94g,10mmol)加于50ml三口烧瓶中,冰浴至0°c,在n2条件下,加入三氟甲烷磺酸10ml(114mmol),正戊酰氯(10.9mmol),于0°c反应1小时,撤去冰浴,再常温反应1小时后,加入冰水,用萃取(40ml×3),合并有机相,用1n盐酸溶液洗(30ml×2),饱和碳酸氢钠洗(30ml×3),饱和食盐水洗(30ml×3),用无水镁干燥,过滤,用旋转蒸发仪除去溶剂,柱层析纯化(石油醚:=5:1),得到对羟基戊酮。
报道二、

500l搪玻璃釜中加入250l和60kg三氯化铝,冷冻液冷却下加入33.4kg甲醚打开氯化氢吸收阀门,关闭排空阀门,温度降至5℃时开始滴加40kg戊酰氯,控制温度50℃,1.5小时加完,滴加完毕后继续搅拌半小时补加28kg三氯化铝,打开排空阀门,缓慢加热至回流,回流时间8小时,停止加热。水冷至30℃,冷冻液降温,滴加吸收盐酸,温度不超过80℃,水解完毕后再加入100l水。分下水层,层再用50℃左右80l×3水洗涤,分净水层。层用配制好的20%氢氧化钠溶液提取,碱液加入80l盐酸‑80l水中和至ph值至1左右,搅拌下降温至10℃,分三次甩干,每次用50l左右的水冲洗,再甩干,得粗品,晾干。粗品加入0.8倍乙醇,10%活性炭,5%硅胶,加热回流半小时,趁热压滤,滤液水冷至40℃,冷冻液降温至‑15℃,并在此温度保持1小时,甩干,所得产品45℃烘干4小时,得对羟基戊酮,理论产量55.2kg,产率>80%,实际产量>43.2kg,白色固体,液相色谱纯度>99.5%。
主要参考资料
[1][中国发明,中国发明授权]cn201210222626.8新型抗菌剂酰基氧、酰基肉桂酸及其制备方法
[2] [中国发明,中国发明授权] cn200910264373.9 一种戊基环己基联氰生产方法



