α-溴-2,3,4,5,6-五氟的应用_凯茵工业添加剂

背景及概述 α-溴-2,3,4,5,6-五氟是类衍生物,可用作衍生化试剂,用于气相色谱分析多功能硫醇,也可用于…

[1,1′:4′,1″]三联-3,3″,5,5″-四甲酸的应用_凯茵工业添加剂

[1,1′:4′,1″]三联-3,3″,5,5″-四甲酸的应用_凯茵工业添加剂

背景及概述[1][2] [1,1′:4′,1″]三联-3,3″,5,5″-四甲酸为芳香烃类衍生物,可用于制备各…

广告位

广告

4-氰甲基-2,3,5,6-四氟腈的应用_凯茵工业添加剂

概述[1][2] 4-氰甲基-2,3,5,6-四氟腈是一种光化学中间体,可由六氟腈一步制备得到,可用于合成发光…

5,5-二巯基-2,2-二硝基苯甲酸-制备路线

5,5-二巯基-2,2-二硝基甲酸的制备方法和应用探究_凯茵工业添加剂

背景及概述[1] 又叫dtnb即(5,5'-dithiobis-(2-nitrobenzoic ac…

如何制备3,4,5,6-四氟邻二甲酸_凯茵工业添加剂

背景及概述[1][2] 3,4,5,6-四氟邻二甲酸,纯品为白色颗粒结晶固体。该化合物主要用于医药中间体及合成…

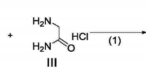
5,6-二基-2-羟基吡嗪的制备_凯茵工业添加剂

背景及概述[1] 5,6-二基-2-羟基吡嗪是一种医药中间体,可由联甲酰与氨基乙酰胺盐酸盐一步制备得到。有文献…

2-(2-二氟甲基基)-4,4,5,5-四甲基-1,3,2-二氧硼烷的应用_凯茵工业添加剂

背景及概述 2-(2-二氟甲基基)-4,4,5,5-四甲基-1,3,2-二氧硼烷是一种有机中间体,常用于进行金…

联系我们

联系我们

181-3619-1160

在线咨询: QQ交谈

邮箱: 34331943@QQ.com

工作时间:周一至周五,9:00-17:30,节假日休息

关注微信
微信扫一扫关注我们

微信扫一扫关注我们

关注微博
返回顶部
首页
找样品
产品
应用
搜索