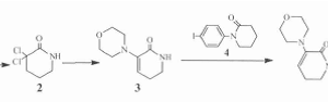
5,6-二氢-3-(4-吗啉基)-1-[4-(2-氧代-1-哌啶基)基]-2(1h)-吡啶酮的应用_凯茵工业添加剂
背景 [1] 5,6-二氢-3-(4-吗啉基)-1-[4-(2-氧代-1-哌啶基)基]-2(1h)-吡啶酮为制…
[1,1′:4′,1″]三联-3,3″,5,5″-四甲酸的应用_凯茵工业添加剂
背景及概述[1][2] [1,1′:4′,1″]三联-3,3″,5,5″-四甲酸为芳香烃类衍生物,可用于制备各…
2-(2-二氟甲基基)-4,4,5,5-四甲基-1,3,2-二氧硼烷的应用_凯茵工业添加剂
背景及概述 2-(2-二氟甲基基)-4,4,5,5-四甲基-1,3,2-二氧硼烷是一种有机中间体,常用于进行金…



