最新文章

对硝基基-β-d-吡喃葡糖醛酸苷的制备_凯茵工业添加剂

对硝基基-β-d-吡喃葡糖醛酸苷的制备_凯茵工业添加剂

背景及概述[1] 对硝基基-β-d-吡喃葡糖醛酸苷为糖类衍生物,可用作医药中间体。 制备[1] 对硝基基-β-…

二基乙炔的制备_凯茵工业添加剂

背景及概述[1] 炔烃衍生物二基乙炔在有机合成中占据着重要的地位,许多天然产物、药物分子和聚合材料等都包含炔烃…

广告位

广告

间甲氧基的制备_凯茵工业添加剂

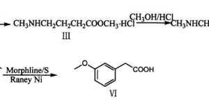
概述[1] 甲氧基如邻、对、间甲基,它(们)是一类重要的有机化工精细化学品中间体,主要用于制造农药和医药及相应…

间三氟甲基甲酸的制备_凯茵工业添加剂

概述[1] 间三氟甲基甲酸是一种医药、农药化学中间体,在医药、农药等领域有着十分广泛的应用。目前主要有以下制备…

联菊酯的应用与制备_凯茵工业添加剂

背景及概述[1] 联菊酯是70-80年代迅速发展起来的新型拟除虫菊类农用杀虫剂品种之一,在世界各国广泛使用。联…

邻二甲腈的制备_凯茵工业添加剂

背景及概述[1] 芳香腈类化合物邻二甲腈是一类非常重要的有机合成中间体,广泛存在于医药、农药、除草剂、杀虫剂、…

4-氨基邻二甲腈的制备_凯茵工业添加剂

背景及概述[1] 酞菁是一种非常重要的工业原料,早用作颜料、涂料、油墨和油漆的呈色填料。由于酞菁还具有光导性能…

4-碘-3-甲基甲酸甲酯的制备_凯茵工业添加剂

背景及概述[1] 4-碘-3-甲基甲酸甲酯是有机合成中间体和医药中间体,可用于实验室研发过程和化工医药研发过程…

广告位

羟丙甲纤维素邻二甲酸酯的应用与制备_凯茵工业添加剂

背景及概述[1] 作为肠溶性聚合物,羟丙甲纤维素邻二甲酸酯是广为人知的,它是总共具有三种取代基的聚合物,并且是…

4-氟-2-甲氧基-5-硝基胺的制备_凯茵工业添加剂

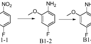
背景[1] 4-氟-2-甲氧基-5-硝基胺是有机合成中间体和医药中间体,可用于实验室研发过程和化工医药研发过程…

联系我们

联系我们

181-3619-1160

在线咨询: QQ交谈

邮箱: 34331943@QQ.com

工作时间:周一至周五,9:00-17:30,节假日休息

关注微信
微信扫一扫关注我们

微信扫一扫关注我们

关注微博
返回顶部
首页
找样品
产品
应用
搜索