催化剂_聚氨酯催化剂_延迟催化剂_催化剂信息网 催化剂百科 4-氟-2-甲氧基-5-硝基胺的制备_凯茵工业添加剂

4-氟-2-甲氧基-5-硝基胺的制备_凯茵工业添加剂

广告位

背景[1]

4-氟-2-甲氧基-5-硝基胺是有机合成中间体和医药中间体,可用于实验室研发过程和化工医药研发过程中。

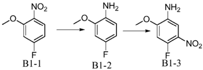
制备[1-2]

方法1:4-氟-2-甲氧基-5-硝基胺制备如下:

将4-氟-2-甲氧基胺(20g)于-15℃溶于浓,使混合液中固体全部溶解,缓慢加入溶于浓的硝酸钾溶液(5.91g)。于此温度下继续搅拌2h。此反应液倒入冰水中,加入naoh,调节ph8.0-9.0,剧烈搅拌析出固体,抽滤,得黄色固体4-氟-2-甲氧基-5-硝基胺(22.0g),收率83.7%。

方法2:4-氟-2-甲氧基-5-硝基胺制备如下:

b1-2的合成:原料b1-1称取50g,加入500ml甲醇全溶解,加入pd/c10g,35℃下氢化反应两天。点板监控,原料反应完毕,处理。直接滤除pd/c,旋干甲醇相得到粗品39g,直接投下一步。

b1-3的合成:原料b1-2取39g,加入到500ml的浓中,冰盐浴下加入。控制温度在10℃以下搅拌全溶。保持温度10℃以下加入1ep硝酸钾,室温下搅拌过夜。次日,倒入冰水中,用氨水调节ph>7,萃取,干燥,过柱,得到44g产品。

1h-nmr(cdcl3) δ7.39(d,j=7.2hz,1h),6.63(d,j=12.4hz,1h),3.94(s,3h),3.90(broad,2h)。

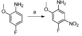
应用[1]

4-氟-2-甲氧基-5-硝基胺可用于制备如下化合物:

室温下,将4-氟-2-甲氧基-5-硝基胺(22.0g,)三乙胺和dmap溶于thf中,然后向反应体系中滴加boc2o的thf溶液,继续搅拌反应24h。反应完毕后,倒入水中,用二氯甲烷萃取3遍,有机层依次用用水,饱和食盐水洗涤,然后经无水钠干燥,蒸干得棕褐色固体。

主要参考资料

[1] cn110078732-嘌呤类化合物及其用途

[2] cn108558835-一种氘代azd9291的晶型、制备方法及用途

广告位
本文来自网络,不代表催化剂网立场,转载请注明出处。若有侵权,请联系我们,马上删除处理!https://www.51teoa.com/19321.html

作者: admin

上一篇
下一篇
联系我们

联系我们

181-3619-1160

在线咨询: QQ交谈

邮箱: 34331943@QQ.com

工作时间:周一至周五,9:00-17:30,节假日休息

关注微信
微信扫一扫关注我们

微信扫一扫关注我们

关注微博
返回顶部
首页
找样品
产品
应用
搜索