间甲氧基的制备_凯茵工业添加剂

广告位

概述[1]

甲氧基如邻、对、间甲基,它(们)是一类重要的有机化工精细化学品中间体,主要用于制造农药和医药及相应的酯类等。现有技术中,甲氧基的制备方法报道并不多,但其类似物的合成及制备方法非常多,其合成工艺路线主要有以下几种:

(1)乙腈水解法:首先用氯节与氰化钠在溶剂存在下生成乙腈,然后进一步反应得芳基乙腈,后在稀中水解成芳基。该方法水解这一步收率高,但是合成乙腈收率低,目氰化钠有剧毒。

(2)乙酰胺水解法:以乙烯为原料,经与氨水、硫磺反应生成乙酰胺,继续反应得芳基乙酰胺,再经水解生成芳基。此法工艺简单,操作条件易控制,原料和中间产物毒性小,但乙烯与氨水、硫磺这一步反应的副产物乙硫醇,味奇臭,污染环境,而且反应需要加压进行,限制了该反应的运用。

(3)碳基合成法:在碳基化催化剂作用下,氯代芳基甲烷在氢氧化钠及有机溶剂两相体系中在较低压力及温和温度下进行碳基化反应,生成芳基钠,然后经酸化成芳基。该法的产物纯度高,反应条件温和,但存在工艺过程中技术要求高,需精心操作以防止催化剂失活或流失等缺点,目收率尚有待于提高。

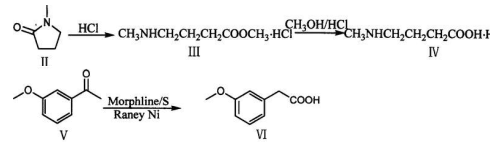
制备[1]

方法1:在500m1的四口烧瓶中,先加入100g水,在搅拌下缓慢加入98%浓240克(2.40mo1)。稍后升温至90℃,并在90℃‑150℃下缓慢滴加200克(98%,1.50mo1)间甲基乙睛,其它操作同实施例1。当反应完成时,降温至80℃,然后加入300m1,搅拌10分钟,分出有机相,水相再用100mi分别萃取两次,合并有机相,用蒸馏水或清水洗涤2次。将有机相搅拌下边缓慢降温至3‑5℃使之析出片状白色晶体;过滤后在室温下风干,得间甲氧基成品180.3g,收率80.14%,熔点120‑122℃。

方法2:合成间甲氧基(vi)

1000ml的三口瓶中加入33g升华硫,96.5ml3-甲氧基乙酮(v)和92ml吗啉,机械搅拌下回流反应15小时。降温到约30℃,机械搅拌下加入由350ml冰醋酸、105ml蒸馏水和70ml浓配置而成的混合溶液,继续回流5.5小时。反应混合物倾入冰水(400g冰+100ml水)中,机械搅拌直至黄褐色的固体析出(必要时补充碎冰),冰浴下快速冷却过滤。固体用300ml20%的氢氧化钠水溶液溶解,过滤,褐色的不溶物加入到100ml20%的氢氧化钠水溶液中加热回流半小时,趁热过滤。

滤液合并,加入10g活化后的粉末活性炭回流半小时脱色。过滤。加入15graneyni作催化剂回流搅拌2小时,将反应后的ni除去,再加15graneyni加热回流2小时。过滤,滤液在冰浴、机械搅拌下用2n的盐酸酸化至ph1-2,得到羽片状白色沉淀,冰浴下放置半小时过滤,干燥,得到58g间甲氧基,收率49.8%,熔点68-71℃。

主要参考资料

[1] cn201210087394.x甲氧基的制备方法

[2] cn200410017499.3一种制备1-甲基-3-乙基-3-(3-羟基基)-六氢-1h-氮杂卓盐酸盐的方法

广告位
本文来自网络,不代表催化剂网立场,转载请注明出处。若有侵权,请联系我们,马上删除处理!https://www.51teoa.com/19336.html

作者: admin

上一篇
下一篇
联系我们

联系我们

181-3619-1160

在线咨询: QQ交谈

邮箱: 34331943@QQ.com

工作时间:周一至周五,9:00-17:30,节假日休息

关注微信
微信扫一扫关注我们

微信扫一扫关注我们

关注微博
返回顶部
首页
找样品
产品
应用
搜索