最新文章

1,3-二脲的制备_凯茵工业添加剂

背景及概述[1] 1,3-二脲属于脲类化合物。脲是指含有r1r2n-co-nr1r2官能团的化合物,是人工合成…

2,5-二羟基磺酸钾的制备和应用_凯茵工业添加剂

背景及概述[1] 2,5-二羟基磺酸钾属于2,5-二羟基磺酸衍生物,可单独或与其他药物组合用于治疗男性性功能障…

广告位

广告

n-叔丁基-2-并噻唑次磺酰胺的制备_凯茵工业添加剂

背景及概述[1] n-叔丁基-2-并噻唑次磺酰胺是一种常用的后效性促进剂,在操作温度下,非常安全,耐焦烧性好,…

间二甲酸二甲酯的制备和应用_凯茵工业添加剂

背景及概述[1] 间二甲酸二甲酯是白色针状结晶,溶于甲醇、乙醇,不溶于水,用于有机合成,作气相色谱固定板。间二…

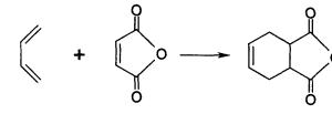
四氢酐的制备和应用_凯茵工业添加剂

背景及概述[1] 四氢酐又叫四氢邻二甲酸酐。四氢酐有顺、反异构体,反式异构体又有d-及dl-两种旋光异构体。顺…

(+)-去福林盐酸盐的制备_凯茵工业添加剂

(+)-去福林盐酸盐的制备_凯茵工业添加剂

背景及概述[1] (+)-去福林盐酸盐,或名盐酸去福林,学名间羟基乙醇胺盐酸盐,英文名norfenefrine…

2,2′-二(三氟甲基)二氨基联的制备_凯茵工业添加剂

2,2′-二(三氟甲基)二氨基联的制备_凯茵工业添加剂

背景及概述[1] 2,2'-二(三氟甲基)二氨基联又叫2,2'-二(三氟甲基)-4,4&#…

2-氟-4-碘胺的制备_凯茵工业添加剂

2-氟-4-碘胺的制备_凯茵工业添加剂

背景与概述[1] 2-氟-4-碘胺是染料工业中重要的中间体之一,在染料工业中可用于制造酸性墨水蓝g、酸性媒介b…

广告位

3-溴-1,3,4,5-四氢-2h-1-并氮杂卓-2-酮的制备_凯茵工业添加剂

背景与概述[1] 3-溴-1,3,4,5-四氢-2h-1-并氮杂卓-2-酮是合成盐酸贝那普利的中间体。盐酸贝那…

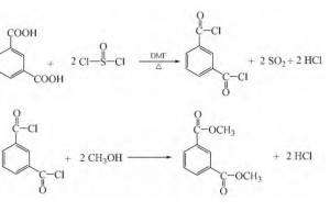
磺酰氯的制备_凯茵工业添加剂

背景与概述[1] 磺酰氯为白色片状结晶,熔点为69—71℃,是重要的有机合成药物中间体,主要用于氨磺氯霉素、氯…

联系我们

联系我们

181-3619-1160

在线咨询: QQ交谈

邮箱: 34331943@QQ.com

工作时间:周一至周五,9:00-17:30,节假日休息

关注微信
微信扫一扫关注我们

微信扫一扫关注我们

关注微博
返回顶部
首页
找样品
产品
应用
搜索