最新文章
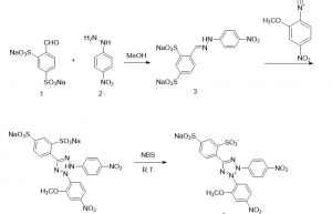
2-(2-甲氧基-4-硝基)-3-(4-硝基)-5-(2,4-二磺基)-2h-四唑单钠盐的制备_凯茵工业添加剂
背景及概述[1] 2-(2-甲氧基-4-硝基)-3-(4-硝基)-5-(2,4-二磺基)-2h-四唑单钠盐,简…
(2s-cis)-(+)-2,3-二氢-3-羟基-2-(4-甲氧基)-1,5-并硫氮杂卓-4(5h)-酮的制备_凯茵工业添加剂
背景及概述[1] (2s-cis)-(+)-2,3-二氢-3-羟基-2-(4-甲氧基)-1,5-并硫氮杂卓-4…
[1,1′-双(二基膦)二茂铁]二氯化钯二氯甲烷络合物的制备和应用_凯茵工业添加剂
背景及概述[1] [1,1′-双(二基膦)二茂铁]二氯化钯二氯甲烷络合物(pd(dppf)cl2·ch2cl2…
2-[2-[2-氯-3-[(1,3-二氢-1,3,3-三甲基-2h-吲哚-2-亚基)亚乙基]-1-环己烯-1-基]乙烯基]-1,3,3-三甲基-3h-吲哚4-甲基磺酸盐的制备_凯茵工业添加剂
背景及概述[1] 2-[2-[2-氯-3-[(1,3-二氢-1,3,3-三甲基-2h-吲哚-2-亚基)亚乙基]…



