背景及概述[1]
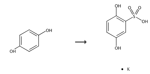
2,5-二羟基磺酸钾属于2,5-二羟基磺酸衍生物,可单独或与其他药物组合用于治疗男性性功能障碍和其他内皮源性血管疾病。2,5-二羟基磺酸钾可由对二酚作为起始物料制备得到。
制备[1]

将对二酚(25 g,0.2270 mol)、正庚烷(75 ml)放入圆底烧瓶中,将烧瓶冷却至约10-15°c后,同时滴加(36 n,22.2 g) 继续搅拌约10-15分钟。 将温度缓慢升高至50-55℃,然后继续搅拌3小时。 然后将反应物料冷却至25-35℃,并加入(250ml)以溶解形成的固体。 缓慢加入2-乙基己酸钾(41.3g,0.2265mol)在(250ml)中的溶液。 将反应进一步搅拌一个小时。 过滤沉淀的粗固体,用洗涤。
应用[2]
cn201711459362.7公开了固定氨氧化细菌的聚丙烯树脂复合板。聚丙烯树脂板清洗后经锡酸钾、2,5-二羟基磺酸钾、三氟钾、氢钾制备的混合液改性后得到物质b;物质b经草酸三氢钾、琼脂糖和山梨酸钾制备的混合液改性后得到物质c,在物质c上固定氨氧化细菌后得到的物质即为固定氨氧化细菌的聚丙烯树脂复合板。本发明的有益效果是,制得的固定氨氧化细菌的聚丙烯树脂复合板具有菌株活性高、能高效降解废水中氨氮的功能。
参考文献
[1] from pct int. appl., 2009083940, 09 jul 2009
[2] [中国发明] cn201711459362.7 固定氨氧化细菌的聚丙烯树脂复合板及其制备方法



