1-氯并噻嗪的制备_凯茵工业添加剂

背景及概述[1][2] 1-氯并噻嗪是一种噻嗪类化合物,噻嗪类化合物广泛用于各个领域,例如三环类抗抑郁药,橡胶…

2-氨基-4-氰基酚的制备与应用_凯茵工业添加剂

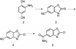
背景及概述[1-3] 2-氨基-4-氰基酚属于酚类衍生物,可用作有机中间体,可由2-硝基-4-氰基酚一步还原制…

广告位

广告

3,4-二氢-3-羟基-4-氧-1,2,3-并三嗪的应用_凯茵工业添加剂

背景及概述[1] 3,4-二氢-3-羟基-4-氧-1,2,3-并三嗪为杂环有机物,是一种多肽合成缩合剂,简称h…

4-溴-2,3-二氟甲醛的制备_凯茵工业添加剂

背景及概述[1] 4‑溴‑2,3‑二氟甲醛是一种重要的含氟类液晶中间体,因其结构中氟原子取代环上的氢原子,相对…

基周位酸的应用_凯茵工业添加剂

概述[1][2] 基周位酸又叫8-胺-1-萘磺酸 ,是染料中间体,用来生产弱酸性黑br、弱酸性深蓝5r以及硫化…

对二甲酸二辛酯的应用_凯茵工业添加剂

概述[1][2] 对二甲酸二辛酯(dotp)是聚氯乙烯(pvc)塑料用的一种性能优良的主增塑剂。 它与目前常用…

邻碘的制备_凯茵工业添加剂

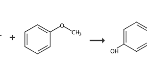
背景及概述[1] 邻碘属于邻卤,是一种重要的有机合成中间体,可用于合成许多三环类化合物,其中邻氯和邻碘都可用于…

苔色酸的制备_凯茵工业添加剂

背景及概述[1] 苔色酸(2,4-二羟基-6-甲基甲酸)为一种二羟基甲酸衍生物,结构上多一个甲基。其可作为医药…

广告位

4-氯甲醛的制备和应用_凯茵工业添加剂

背景及概述[1-3] 4-氯甲醛主要用于制造镇静药芬那露、氨酪酸等医药原料及中间体,在农药上用以制造氯肉桂醛,…

对羟基戊酮的制备_凯茵工业添加剂

概述[1][2] 对羟基戊酮又叫4-正戊酰基酚,是一种有机中间体和医药中间体,可用于制备酰基氧类化合物。可由酚…

联系我们

联系我们

181-3619-1160

在线咨询: QQ交谈

邮箱: 34331943@QQ.com

工作时间:周一至周五,9:00-17:30,节假日休息

关注微信
微信扫一扫关注我们

微信扫一扫关注我们

关注微博
返回顶部
首页
找样品
产品
应用
搜索