均三胺的制备_凯茵工业添加剂

概述[1] 均三胺是一种广泛应用于染料、农药等工业的中间体。均三胺合成的原料为均三,其存在于石油中。随着我国大…

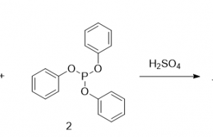
乙基的制备和应用_凯茵工业添加剂

背景及概述[1][2] 乙基不溶于水,无色易燃液体,溶于醇、和醚。用于乙烯生产,合成多聚物,也作溶剂或稀释剂。…

广告位

广告

2-(2-二氟甲基基)-4,4,5,5-四甲基-1,3,2-二氧硼烷的应用_凯茵工业添加剂

背景及概述 2-(2-二氟甲基基)-4,4,5,5-四甲基-1,3,2-二氧硼烷是一种有机中间体,常用于进行金…

2-(叔丁氧基-2-甲酰胺)-3-硝基甲酸甲酯的制备和应用_凯茵工业添加剂

背景及概述[1] 2-(叔丁氧基-2-甲酰胺)-3-硝基甲酸甲酯是一种医药中间体,可用于合成坎地沙坦。坎地沙坦…

5-溴并[1,3]二氧杂环戊烯-4-羧酸的制备_凯茵工业添加剂

背景及概述[1] 5-溴并[1,3]二氧杂环戊烯-4-羧酸可用作医药合成中间体。可由6-溴-2,3-二羟基甲醛…

5,6-二氢-3-(4-吗啉氧代-1-哌啶基)基]-2(1h)-吡啶酮的合成_凯茵工业添加剂

背景及概述[1] 5,6-二氢-3-(4-吗啉基)-1-[4-(2-氧代-1-哌啶基)基]-2(1h)-吡啶酮…

3,4-二羟基甲酯的制备和应用_凯茵工业添加剂

背景及概述[1] 3,4-二羟基甲酯可用于制备羟基酪醇。羟基酪醇,其化学名为3,4-二羟基乙醇(3,4-dih…

2-羟基-5-三氟甲基甲酸的制备和应用_凯茵工业添加剂

背景及概述[1] 2-羟基-5-三氟甲基甲酸是一种有机中间体,可由2-甲氧基-5-(三氟甲基)甲酸与碘代环己烷…

广告位

1-并噻吩-3(2h)-酮的制备和应用_凯茵工业添加剂

背景及概述[1] 1-并噻吩-3(2h)-酮是一种有机中间体,可由2-羧甲基硫代甲酸作为起始物料反应制备得到。…

2-羟基-4,5-二甲氧基甲酸酯的制备_凯茵工业添加剂

背景及概述[1] 2-羟基-4,5-二甲氧基甲酸酯是合成2-氨基噻唑类化合物的重要中间体。2-氨基噻唑类化合物…

联系我们

联系我们

181-3619-1160

在线咨询: QQ交谈

邮箱: 34331943@QQ.com

工作时间:周一至周五,9:00-17:30,节假日休息

关注微信
微信扫一扫关注我们

微信扫一扫关注我们

关注微博
返回顶部
首页
找样品
产品
应用
搜索