四羟基醌的应用_凯茵工业添加剂

背景及概述 四羟基醌一种化学物质。 应用 [1] 一、用于制备克酮酸 克酮酸是一种重要的化学中间体,用途十分广…

1-(4-氟基)哌嗪的制备_凯茵工业添加剂

背景及概述[1][2] 取代哌嗪类化合物的应用非常广泛,可用于几大类药物的合成,如抗组胺药、抗抑郁、抗精神病药…

广告位

广告

2,4-二氯的应用_凯茵工业添加剂

背景及概述[1][2] 2,4-二氯是新型杀虫、杀螨剂螺螨酯的关键中间体。螺螨酯系 公司开发的螺环季酮酸(具有…

2-氨基异邻二甲酸二甲酯的制备_凯茵工业添加剂

背景及概述[1] 2-氨基异邻二甲酸二甲酯可用作医药化工合成中间体。如果吸入2-氨基异邻二甲酸二甲酯,请将患者…

2-溴-4-甲基-1-硝基的应用_凯茵工业添加剂

背景及概述[1][2] 2-溴-4-甲基-1-硝基可用作医药化工合成中间体。如果吸入2-溴-4-甲基-1-硝基…

4-[[9-氯-7-(2-氟-6-甲氧基基)-5h-嘧啶并[5,4-d][2]并氮杂卓-2-基]氨基]-2-甲氧基甲酸的制备_凯茵工业添加剂

背景及概述[1][2] 肺癌根据组织病理学主要分为小细胞肺癌和非小细胞肺癌两大类,其中非小细胞型肺癌包括鳞状细…

5-溴-2-碘胺的制备_凯茵工业添加剂

背景及概述[1][2] 5-溴-2-碘胺可用作医药化工合成中间体。如果吸入5-溴-2-碘胺,请将患者移到新鲜空…

5-溴-2-氟三氟(别名2-溴-5-氟三氟)的制备_凯茵工业添加剂

背景及概述[1][2] 2-溴-5-氟三氟是一种用途广泛的医药中间体。目前,作为中间体的2-溴-5-氟三氟市场…

广告位

2-巯基并噻唑的应用_凯茵工业添加剂

背景及概述[1][2] 2-巯基并噻唑是噻唑类橡胶硫化促进剂中的一个重要品种,同时还是一种抗氧化、抗腐蚀的重要…

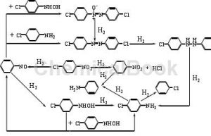
4-氯胺的制备和应用_凯茵工业添加剂

背景及概述[1][2] 4-氯胺(4-氯胺4-氯胺)是一种熔点为341~344k,沸点为505k,易溶于乙醇、…

联系我们

联系我们

181-3619-1160

在线咨询: QQ交谈

邮箱: 34331943@QQ.com

工作时间:周一至周五,9:00-17:30,节假日休息

关注微信
微信扫一扫关注我们

微信扫一扫关注我们

关注微博
返回顶部
首页
找样品
产品
应用
搜索