
结构式
| 物竞编号 | 01us |
|---|---|
| 分子式 | c10h6cl2n2o4s |
| 分子量 | 323.15 |
| 标签 |
1-(2,5-二氯-4-磺酸基)-3-甲基-5-吡唑酮, 1-(2,5-dichloro-4-sulfophenyl)-3-methyl-5-pyrazolone, 杂环化合物 |
编号系统
cas号:84-57-1
mdl号:暂无
einecs号:201-541-7
rtecs号:db6040000
brn号:暂无
pubchem号:24848468
物性数据
1. 性状:白色或黄色结晶粉末
2. 密度(g/ml,25/4℃):未确定
3. 相对蒸汽密度(g/ml,空气=1):未确定
4. 熔点(ºc):未确定
5. 沸点(ºc,常压):未确定
6. 沸点(ºc,5.2kpa):未确定
7. 折射率:未确定
8. 闪点(ºc):未确定
9. 比旋光度(º):未确定
10. 自燃点或引燃温度(ºc):未确定
11. 蒸气压(kpa,25ºc):未确定
12. 饱和蒸气压(kpa,60ºc):未确定
13. 燃烧热(kj/mol):未确定
14. 临界温度(ºc):未确定
15. 临界压力(kpa):未确定
16. 油水(辛醇/水)分配系数的对数值:未确定
17. 爆炸上限(%,v/v):未确定
18. 爆炸下限(%,v/v):未确定
19. 溶解性:易溶于水和乙醇,溶于碱,微溶于
毒理学数据
兔子皮肤眼睛试验:500 mg/24hreaction;
生态学数据
暂无
分子结构数据
1、 摩尔折射率:70.83
2、 摩尔体积(cm3/mol):184.9
3、 等张比容(90.2k):535.4
4、 表面张力(dyne/cm):70.2
5、 极化率(10-24cm3):28.07
计算化学数据
1、 疏水参数计算参考值(xlogp):1.3
2、 氢键供体数量1
3、 氢键受体数量:5
4、 可旋转化学键数量:2
5、 互变异构体数量:3
6、 拓扑分子极性表面积(tpsa):87
7、 重原子数量:19
8、 表面电荷:0
9、 复杂度:516
10、同位素原子数量:0
11、确定原子立构中心数量:0
12、不确定原子立构中心数量:0
13、确定化学键立构中心数量:0
14、不确定化学键立构中心数量:0
15、共价键单元数量:1
性质与稳定性
低毒,其毒性及防护方法参见1-基-3-甲基-5-吡唑(啉)酮。 采用内衬塑料袋的铁桶包装。每桶30kg或50kg。
贮存方法
本品应密封于阴凉干燥处保存。按一般化学品规定贮运。
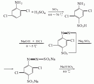
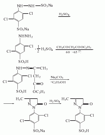
合成方法
将2,5-二氯胺经磺化后,用亚硝酸钠重氮化。重氮盐经亚钠、亚氢钠还原得2,5-二氯-4-磺酸基肼磺酸钠盐,经酸化使成盐,再和乙酰缩合,经纯碱中和脱去乙酯,再酸化,得成品。


用途
用于染料的中间体。



