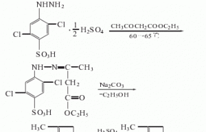
1-(2',5'-二氯-4'-磺酸基)-3-甲基-5-吡唑酮 1-(2',5'-dichloro-4'-sulfophenyl)-3-methyl-5-pyrazolone

结构式 物竞编号 01us 分子式 c10h6cl2n2o4s 分子量 323.15 标签 1-(2,5-二氯…

1-(2,3-二甲基基)哌啶的制备方法_凯茵工业添加剂

背景及概述[1] 1-(2,3-二甲基基)哌啶可用作医药合成中间体。如果吸入1-(2,3-二甲基基)哌啶,请将…

广告位

广告

1-(2,4-二氯基)哌嗪二盐酸盐的应用_凯茵工业添加剂

背景及概述[1] 1-(2,4-二氯基)哌嗪二盐酸盐可用作医药合成中间体。其游离碱可由哌嗪和2,4-二氯溴通过…

1-(2,3-二甲基基)哌啶的制备方法_凯茵工业添加剂

背景及概述[1] 1-(2,3-二甲基基)哌啶可用作医药合成中间体。如果吸入1-(2,3-二甲基基)哌啶,请将…

联系我们

联系我们

181-3619-1160

在线咨询: QQ交谈

邮箱: 34331943@QQ.com

工作时间:周一至周五,9:00-17:30,节假日休息

关注微信
微信扫一扫关注我们

微信扫一扫关注我们

关注微博
返回顶部
首页
找样品
产品
应用
搜索