背景及概述[1]
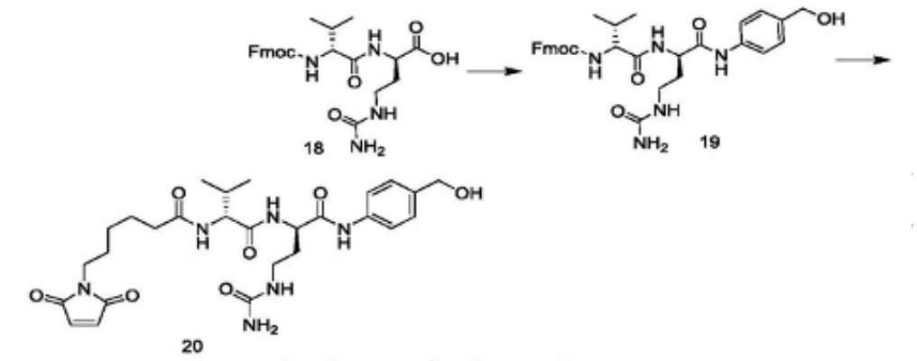
n-[6-(2,5-二氢-2,5-二氧代-1h-吡咯-1-基)-1-氧代己基]-l-缬氨酰-n5-(氨基甲酰基)-n-[4-(羟甲基)基]-l-鸟氨酰胺可用于制备抗体-药物偶联物。
抗体偶联药物(adc)作为新型的靶向药物,一般由三部分组成:抗体或抗体类配体,小分子药物以及将配体和药物偶联起来的连接子。抗体偶联药物利用抗体对抗原的特异性识别,将药物分子运输至靶细胞附近并有效释放药物分子,达到治疗目的。2011年8月,美国食品药品监督管理局(fda)批准西雅图基因公司研制的用于治疗霍奇金淋巴瘤以及复发性变性大细胞淋巴瘤(alcl)的adc新药adecteis上市,临床应用证明了此类药物的安全性和有效性。
制备[1]
化合物19(fmoc-vc-paba)合成:
将1.5g化合物18(fmoc-val-cit)溶于14ml二氯甲烷和7ml甲醇混合溶剂中,加入4- 氨基苄醇(445.2mg,3.62mmol),随后加入eedq(1.5g,6mmol),将反应液室温搅拌过夜,溶剂浓缩除去后于残留物中加入异丙醚搅洗30min,将固体过滤后加入异丙醚再次搅洗30min,过滤,得fmoc-vc-paba 1.5g,收率82%。m(+1)=602.6.
化合物20(n-[6-(2,5-二氢-2,5-二氧代-1h-吡咯-1-基)-1-氧代己基]-l-缬氨酰-n5-(氨基甲酰基)-n-[4-(羟甲基)基]-l-鸟氨酰胺)合成:
将2g fmoc-vc-paba溶于10mldmf中,加入2ml哌啶,室温搅拌30min,tlc监测反应完全后以高真空油泵减压浓缩得黄色固体,不经纯化可直接用于下一步反应。
参考文献
[1] [中国发明] cn201810943787.3 具有两种不同药物的抗体药物偶联物




