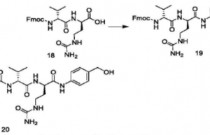
n-[6-(2,5-二氢-2,5-二氧代-1h-吡咯-1-基)-1-氧代己基]-l-缬氨酰-n5-(氨基甲酰基)-n-[4-(羟甲基)基]-l-鸟氨酰胺的制备_凯茵工业添加剂
背景及概述[1] n-[6-(2,5-二氢-2,5-二氧代-1h-吡咯-1-基)-1-氧代己基]-l-缬氨酰-…
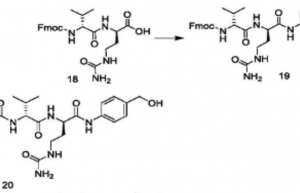
n-[6-(2,5-二氢-2,5-二氧代-1h-吡咯-1-基)-1-氧代己基]-l-缬氨酰-n5-(氨基甲酰基)-n-[4-(羟甲基)基]-l-鸟氨酰胺的制备_凯茵工业添加剂
背景及概述[1] n-[6-(2,5-二氢-2,5-二氧代-1h-吡咯-1-基)-1-氧代己基]-l-缬氨酰-…


