2,5-二氯胺

结构式 物竞编号 029y 分子式 c6h5cl2n 分子量 162 标签 红紫gg盐, 固猩红gg盐, 坚牢…

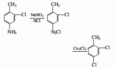
2,4-二氨基

结构式 物竞编号 029w 分子式 c7h10n2 分子量 122.17 标签 4-甲基-1,3-二胺, 4-…

广告位

广告

2,5-二甲基苯胺结构式

2,5-二甲基胺

结构式 物竞编号 029u 分子式 c8h11n 分子量 121.18 标签 1-氨基-2,5-, 对二甲基胺…

2,4-二氯

结构式 物竞编号 029p 分子式 c7h6cl2 分子量 161 标签 2,4-二氯-1-甲基, 2,4-二…

2,4-二甲基苯胺结构式

2,4-二甲基胺

结构式 物竞编号 029k 分子式 c8h11n 分子量 121.18 标签 间二甲基胺, 2,4-dimet…

2',4'-二甲基-2-羟基-3-萘酚结构式

2',4'-二甲基-2-羟基-3-萘酚

结构式 物竞编号 0255 分子式 c19h17no2 分子量 291.34 标签 色酚as-mx, 萘酚as…

1,2,4-三甲基苯结构式

1,2,4-三甲基

结构式 物竞编号 029f 分子式 c9h12 分子量 120.19 标签 假茴香油素, pseudocumo…

2,5-二甲基苯并噻唑结构式

2,5-二甲基并噻唑

结构式 物竞编号 028w 分子式 c9h9ns 分子量 163.24 标签 2,5-二甲基丙噻唑, 2,5-…

广告位
2,5-二苯基恶唑结构式

2,5-二基恶唑

结构式 物竞编号 0253 分子式 c15h11no 分子量 221.25 标签 2,5-二基-1,3-氧氮杂…

2,4-二羟基苯甲醛结构式

2,4-二羟基甲醛

结构式 物竞编号 028j 分子式 c7h6o3 分子量 138.12 标签 2,4-二羟基甲醛, 2,4-d…

联系我们

联系我们

181-3619-1160

在线咨询: QQ交谈

邮箱: 34331943@QQ.com

工作时间:周一至周五,9:00-17:30,节假日休息

关注微信
微信扫一扫关注我们

微信扫一扫关注我们

关注微博
返回顶部
首页
找样品
产品
应用
搜索