2,4-二氯氧基的应用_凯茵工业添加剂

背景[1-3] 2,4-二氯氧基(2,4-d)是用于控制阔叶杂草的常见内吸性除草剂。它是世界上使用广泛的除草剂…

2,4,6-三苯氧基-1,3,5-三嗪-合成路线

2,4,6-三氧基-1,3,5-三嗪的作用和制备方式_凯茵工业添加剂

背景及概述[1][2] 又叫2,4,6-三酚-1,3,5-均三嗪。属于一类含特殊的三嗪单元的小分子、枝化及聚合…

广告位

广告

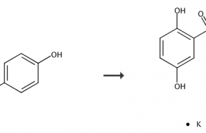
2,4-二氯过氧化甲酰的制备方法_凯茵工业添加剂

背景及概述[1] 众所周知,在碱性溶液中,酰基氯化物和过氧化氢反应可制得二酰基过氧化物,但是难以制得粉末状产品…

2,3,6,7,10,11-六羟基三的制备和应用_凯茵工业添加剂

背景及概述[1-2] 2,3,6,7,10,11-六羟基三简称hhhp,可由邻二酚一步制备得到。有文献报道2,…

2,3-二氯甲酸的制备和应用_凯茵工业添加剂

背景及概述[1-2] 卤代甲酸及其衍生物是一类重要的化工和医药中间体,被大量用做生产杀菌剂、杀虫剂、染料和药物…

2,5-二羟基磺酸钾的制备和应用_凯茵工业添加剂

背景及概述[1] 2,5-二羟基磺酸钾属于2,5-二羟基磺酸衍生物,可单独或与其他药物组合用于治疗男性性功能障…

2,2′-二(三氟甲基)二氨基联的制备_凯茵工业添加剂

背景及概述[1] 2,2'-二(三氟甲基)二氨基联又叫2,2'-二(三氟甲基)-4,4&#…

2,4-二基-氧氮杂环-5-酸的制备_凯茵工业添加剂

背景及概述[1] 2,4-二基-氧氮杂环-5-酸是一种医药中间体,可由(2r,3s)-3-基异丝氨酸和原甲酸三…

广告位

3,4-二氢-3-羟基-4-氧-1,2,3-并三嗪的应用_凯茵工业添加剂

背景及概述[1] 3,4-二氢-3-羟基-4-氧-1,2,3-并三嗪为杂环有机物,是一种多肽合成缩合剂,简称h…

2,4,6-三(二甲氨基甲基)酚

2,4,6-三(二甲氨基甲基)酚

概述: 2,4,6-三(二甲氨基甲基)酚是一种化学物质,分子量是265.40。 中文名称:2,4,6-三(二甲…

联系我们

联系我们

181-3619-1160

在线咨询: QQ交谈

邮箱: 34331943@QQ.com

工作时间:周一至周五,9:00-17:30,节假日休息

关注微信
微信扫一扫关注我们

微信扫一扫关注我们

关注微博
返回顶部
首页
找样品
产品
应用
搜索