最新文章

4-羟基苯硼酸-制备图

4-羟基硼酸的制备和应用探究_凯茵工业添加剂

背景及概述[1][2] 4-羟基硼酸是一种有机中间体,可由4-羟基硼酸三步制备得到。可用于偶联反应。 制备[1…

5,5-二巯基-2,2-二硝基苯甲酸-制备路线

5,5-二巯基-2,2-二硝基甲酸的制备方法和应用探究_凯茵工业添加剂

背景及概述[1] 又叫dtnb即(5,5'-dithiobis-(2-nitrobenzoic ac…

广告位

广告

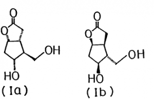
苯甲酰科里内酯异构体

甲酰科里内酯的制备和异构体分析_凯茵工业添加剂

背景及概述[1][2] 前列腺素是一类重要的内源性生理活性物质,是多种生理过程的重要介质,具有较高的药理活性,…

2,4-二氯氧基的应用_凯茵工业添加剂

背景[1-3] 2,4-二氯氧基(2,4-d)是用于控制阔叶杂草的常见内吸性除草剂。它是世界上使用广泛的除草剂…

二乙烯苯溶剂

二乙烯的应用领域和制备方法_凯茵工业添加剂

背景及概述[1] 二乙烯是一种十分有用的交联剂,广泛应用于离子交换树脂、离子交换膜、abs树脂、聚乙烯树脂、不…

4-氨基硼酸盐酸盐的制备方法_凯茵工业添加剂

背景及概述[1] 对于现在已知报道的4‑氨基硼酸盐酸盐通常采用4‑氨基溴为原料,氨基经保护后,使用正丁基锂和硼…

三基甲烷三异氰酸酯的应用_凯茵工业添加剂

概述[1][2] 三基甲烷三异氰酸酯为酯类有机物,主要用于橡胶与金属及其他材料的粘接,亦被广泛用做制鞋行业氯丁…

2-乙氧基-5-(1-丙烯基)酚的制备_凯茵工业添加剂

背景及概述[1] 木质素是由丙烷结构单元通过醚键和碳碳键连接而成的一种复杂的酚类聚合物。2-乙氧基-5-(1-…

广告位

xantphos的制备方法_凯茵工业添加剂

背景及概述[1] 随着金属有机化学的发展,过渡金属催化的偶联反已成为构建c-c、c-n和c-o等键为有效的手段…

4-氯苯丙酮外观

4-氯丙酮的制备和应用_凯茵工业添加剂

背景及概述[1] 4-氯丙酮是芳香族的不对称酮类化合物,白色结晶固体,熔点为34-37℃,4-氯丙酮是一种重要…

联系我们

联系我们

181-3619-1160

在线咨询: QQ交谈

邮箱: 34331943@QQ.com

工作时间:周一至周五,9:00-17:30,节假日休息

关注微信
微信扫一扫关注我们

微信扫一扫关注我们

关注微博
返回顶部
首页
找样品
产品
应用
搜索