催化剂_聚氨酯催化剂_延迟催化剂_催化剂信息网 催化剂百科 甲酰科里内酯的制备和异构体分析_凯茵工业添加剂

甲酰科里内酯的制备和异构体分析_凯茵工业添加剂

广告位

背景及概述[1][2]

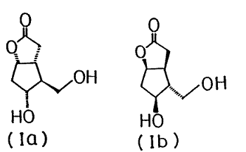
前列腺素是一类重要的内源性生理活性物质,是多种生理过程的重要介质,具有较高的药理活性,临床上前列腺素类药物主要是通过人工合成而来。甲酰科里内酯(coreylactonebenzoate)是合成前列腺素类药物重要中间体,其分子式为c15h16o5,化学名为5-(甲酰氧基)六氢-4-(羟基甲基)-2h-环戊并[b]呋喃-2-酮,通常包括(±)甲酰科里内酯、(-)甲酰科里内酯和(+)甲酰科里内酯。

前列腺素e1乳膏

制备[1]

一锅法制备(+)甲酰科里内酯

向底部带滤芯的反应釜中加入5l吡啶,搅拌下加入(+)科里内酯二醇1kg(1eq),加入1.62kg(1eq)三基氯甲烷,控温10℃反应24h至完全反应,滴加入670ml(1eq)甲酰氯,控温20℃反应6h至完全反应;向反应釜加入10l纯水搅拌3h,得悬浮液,向反应釜内通入氮气,通过釜底的滤芯将悬浮液压滤,再向反应釜中加入甲醇5l,加热回流2h,将液体压滤,得固体粉末;向反应釜中加入10l乙腈,滴加入14l1mol/l盐酸水溶液,控温30℃反应12h至完全反应,将反应体系降温至20℃,加入饱和碳酸氢钠水溶液中和反应至ph=7;将反应釜内的溶剂乙腈减压蒸除,压滤得到粗品;向反应釜内加入5l异丙醚,加热回流3h后,压滤干燥后制到产物(+)甲酰科里内酯1.48kg,收率92.39%,纯度99.41%。

一锅法制备(-)甲酰科里内酯

向底部带滤芯的反应釜中加入6l吡啶,搅拌下加入(-)科里内酯二醇0.8kg(1eq),加入1.55kg(1.2eq)三基氯甲烷,控温20℃反应10h至完全反应,滴加入590ml(1.1eq)甲酰氯,控温30℃反应3h至完全反应;向反应釜加入24l纯水搅拌1h,得悬浮液,向反应釜内通入氮气,通过釜底的滤芯将悬浮液压滤,再向反应釜中加入乙醇8l,加热回流1h,将液体压滤,得固体粉末;向反应釜中加入16l四氢呋喃,滴加入8l3mol/l盐酸水溶液,控温45℃反应4h至完全反应,将反应体系降温至10℃,加入饱和碳酸钠水溶液中和反应至ph=7;将反应釜内的溶剂四氢呋喃减压蒸除,压滤得到粗品;向反应釜内加入8l,加热回流2h后,压滤干燥后制到产物(-)甲酰科里内酯1.17kg,收率91.11%,纯度99.21%。

一锅法制备(±)甲酰科里内酯

向底部带滤芯的反应釜中加入5l吡啶,搅拌下加入(±)科里内酯二醇0.5kg(1eq),加入0.89kg(1.1eq)三基氯甲烷,控温30℃反应6h至完全反应,滴加入352ml(1.05eq)甲酰氯,控温30℃反应1h至完全反应;向反应釜加入5l纯水搅拌1h,得悬浮液,向反应釜内通入氮气,通过釜底的滤芯将悬浮液压滤,再向反应釜中加入异丙醇5l,加热回流1h,将液体压滤,得固体粉末;向反应釜中加入10l四氢呋喃,滴加入3.5l6mol/l盐酸水溶液,控温60℃反应1h至完全反应,将反应体系降温至0℃,加入饱和碳酸氢钠水溶液中和反应至ph=7;将反应釜内的溶剂四氢呋喃减压蒸除,压滤得到粗品;向反应釜内加入12.5l正丙醚,加热回流1h后,压滤干燥后制到产物(±)甲酰科里内酯0.72kg,收率90.15%,纯度99.33%。

异构体分析[2]

甲酰科里内酯异构体

仪器与条件

色谱柱:bcchiralas-h(250×4.6mm,5.0μm)

流动相:正己烷-异丙醇(90:10)

柱温:室温

流速:1.0ml/min

样品浓度:10μg/ml

进样体积:1μl

检测波长:210nm

实验步骤

精密称取(±)-甲酰科里内酯10mg,置于10ml容量瓶中,正己烷-异丙醇(90:10)溶解并稀释到刻度,摇匀,作为供试品母液。精密吸取供试品母液100μl置于10ml容量瓶中,正己烷-异丙醇(90:10)溶液定容到刻度,配制成浓度为10μg/ml的(±)-甲酰科里内酯供试品溶液,吸取供试品溶液1μl进入液相色谱,记录色谱图。

实验结果:(+)-甲酰科里内酯和(-)-甲酰科里内酯两个对映异构体的分离度为1.7,甲酰科里内酯对映异构体能够完全分离。

主要参考资料

[1][中国发明]cn201711470138.8一锅法制备甲酰科里内酯的方法

[2][中国发明,中国发明授权]cn201610574784.8一种通过hplc分析分离甲酰科里内酯对映异构体的方法

广告位
本文来自网络,不代表催化剂网立场,转载请注明出处。若有侵权,请联系我们,马上删除处理!https://www.51teoa.com/19217.html

作者: admin

上一篇
下一篇
联系我们

联系我们

181-3619-1160

在线咨询: QQ交谈

邮箱: 34331943@QQ.com

工作时间:周一至周五,9:00-17:30,节假日休息

关注微信
微信扫一扫关注我们

微信扫一扫关注我们

关注微博
返回顶部
首页
找样品
产品
应用
搜索