最新文章

2-羟基-4,5-二甲氧基甲酸酯的制备_凯茵工业添加剂

背景及概述[1] 2-羟基-4,5-二甲氧基甲酸酯是合成2-氨基噻唑类化合物的重要中间体。2-氨基噻唑类化合物…

1-(4-羟基)哌嗪二氰溴化物的制备_凯茵工业添加剂

概述[1] 1-(4-羟基)哌嗪二氰溴化物可用作医药合成中间体,如制备1-乙酰基-4-(4-羟基基)哌嗪,酮康…

广告位

广告

2-[(4-氯基)(4-哌啶基氧基)甲基]吡啶的制备_凯茵工业添加剂

2-[(4-氯基)(4-哌啶基氧基)甲基]吡啶的制备_凯茵工业添加剂

背景及概述[1] 2-[(4-氯基)(4-哌啶基氧基)甲基]吡啶是合成贝托斯汀的关键中间体,2-[(4-氯基)…

1-(4-氟基)-2-硝基乙烯的制备_凯茵工业添加剂

背景及概述[1] 1-(4-氟基)-2-硝基乙烯属于硝基烯烃,是一类具有生物活性的化合物,其在抗菌,抗癌,抗肿…

n,n,n’,n’-四甲基对二胺二盐酸盐的应用_凯茵工业添加剂

背景及概述[1][2] n,n,n',n'-四甲基对二胺二盐酸盐又叫盐酸四甲基对二胺,简称…

4-碘-2,6-二甲基胺的制备和应用_凯茵工业添加剂

背景及概述[1] 4-碘-2,6-二甲基胺是一种有机中间体,可由2,6-二甲基胺碘代制备得到。4-碘-2,6-…

3′-溴-4′-甲基乙酮的制备_凯茵工业添加剂

背景及概述[1] 3'-溴-4'-甲基乙酮是一种乙酮类衍生物的溴代物,这类化合物是一类非常…

2-氨基-4-溴甲醛的制备和应用_凯茵工业添加剂

背景及概述[1] 2-氨基-4-溴甲醛可用作医药合成中间体,其可用2‑氨基‑4‑溴甲酸作为起始原料进行反应制备…

广告位

3-溴-2-甲基甲醛的制备_凯茵工业添加剂

背景及概述[1][2] 3-溴-2-甲基甲醛可用作医药合成中间体,其可由3-溴-2-甲基甲酸作为起始原料还原得…

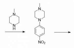
4-(4-甲基哌嗪)胺的制备_凯茵工业添加剂

背景及概述[1] 4-(4-甲基哌嗪)胺可用作医药中间体,其可由对氟硝基用n-甲基哌嗪亲核取代后还原制备得到。…

联系我们

联系我们

181-3619-1160

在线咨询: QQ交谈

邮箱: 34331943@QQ.com

工作时间:周一至周五,9:00-17:30,节假日休息

关注微信
微信扫一扫关注我们

微信扫一扫关注我们

关注微博
返回顶部
首页
找样品
产品
应用
搜索