背景及概述[1]
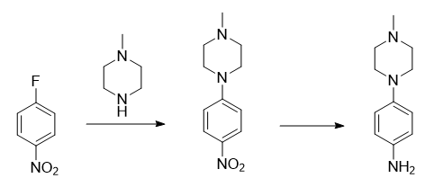
4-(4-甲基哌嗪)胺可用作医药中间体,其可由对氟硝基用n-甲基哌嗪亲核取代后还原制备得到。4-(4-甲基哌嗪)胺可用于制备2-n-芳基-4-n-芳基-5-氟嘧啶类化合物,该化合物具有较高的fgfr4抑制作用,可以作为一种有潜力的抗癌药。成纤维生长因子受体(fgfr)是一类穿膜的受体酪氨酸激酶,目前已知的fgfr主要包括4种类型,即fgfr1、fgfr2、fgfr3及fgfr4,fgfr家族成员在控制细胞增殖和分化的信号通路中发挥着重要作用。
制备[1]
1)4-(4-甲基哌嗪)硝基的合成
将1.0g(7.1mmol)对氟硝基和1.42g(14.17mmol)n-甲基哌嗪共同溶解于10ml干燥的二甲基亚砜(dmso)中,再向混合溶液中加入1.96g(14.17mmol)碳酸钾。常温搅拌反应5h后,向反应液中加入冰水,析出沉淀后,抽滤,滤饼烘干后得到黄色产物1.18g,收率75.25%。
2)4-(4-甲基哌嗪)胺的合成
将1.0g4-(4-甲基哌嗪)硝基溶解于10ml甲醇中,搅拌下缓慢加入催化量的10%pd/c(质量分数)并通入氢气,常温反应5h。反应液抽滤并用甲醇洗涤滤饼。滤液减压旋干除去甲醇,残渣经硅胶柱色谱分离后,得灰白色固体4-(4-甲基哌嗪)胺0.72g,收率83.7%。
参考文献
[1]cn201910895654.8一种2-n-芳基-4-n-芳基-5-氟嘧啶类化合物及其制备方法和应用




