最新文章

4-环己基-3-三氟甲基甲酸的制备_凯茵工业添加剂

4-环己基-3-三氟甲基甲酸的制备_凯茵工业添加剂

背景及概述[1] 4-环己基-3-三氟甲基甲酸是一种有机中间体,可用于制备化合物n-(4-环己基-3-三氟甲基…

钽试剂的制备和应用_凯茵工业添加剂

背景及概述[1-3] 钽试剂又叫n-甲酰基羟胺,可由胲与甲酰氯酰化制备得到。分析上常用钽试剂(bpha)萃取光…

广告位

广告

1,4-双叔丁基过氧异丙基的制备和应用_凯茵工业添加剂

背景及概述[1] 1,4-双叔丁基过氧异丙基是一种高档的交联剂,主要由1,3-和1,4-异构体的混合物组成。本…

2-巯基并噻唑锌盐的制备和应用_凯茵工业添加剂

背景及概述[1] 2-巯基并噻唑锌盐为一种高速硫化促进剂,不具有橡胶染色性。适用于nr、ir、br、sbr、n…

氧甲酯的制备和应用_凯茵工业添加剂

背景及概述[1] 氧甲酯,英文名methylphenoxyacetate,cas号为2065-23-8,分子式…

2-乙氧基甲脒盐酸盐的制备_凯茵工业添加剂

背景及概述[1] 2-乙氧基甲脒盐酸盐是一种医药中间体,可由2-乙氧基苄腈一步制备得到。有文献报道2-乙氧基甲…

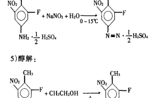
2-氟-6-硝基的应用和制备路线_凯茵工业添加剂

背景及概述[1] 2-氟-6-硝基可用作医药合成中间体,如可用于制备氟取代吲哚化合物,吲哚系列产品具有各种重要…

2-甲基-4-(2-甲基甲酰氨基)甲酸的制备_凯茵工业添加剂

背景及概述[1] 2-甲基-4-(2-甲基甲酰氨基)甲酸是制备托伐普坦的重要中间体,托伐普坦是日本大冢(ots…

广告位

2-硝基-5-氯胺的制备和应用_凯茵工业添加剂

背景及概述[1] 2-硝基-5-氯胺是一种重要的医药、兽药中间体,目前已在兽药阿达唑的升级换代品—芬达唑得到应…

3,5-二羟基戊的制备和应用_凯茵工业添加剂

背景及概述[1-2] 3,5-二羟基戊是一种重要药物中间体,早是通过降解地衣植物中提取出来的地衣酸(又名d-松…

联系我们

联系我们

181-3619-1160

在线咨询: QQ交谈

邮箱: 34331943@QQ.com

工作时间:周一至周五,9:00-17:30,节假日休息

关注微信
微信扫一扫关注我们

微信扫一扫关注我们

关注微博
返回顶部
首页
找样品
产品
应用
搜索