背景及概述[1-2]
3,5-二羟基戊是一种重要药物中间体,早是通过降解地衣植物中提取出来的地衣酸(又名d-松罗酸、戊基地衣缩酚酸)得到的。
3,5‑二羟基烷基有着多种生物学活性,对多种病原体的真菌和细菌都有杀灭功效。近年来,人们又发现在氯化铜和氧气的存在下,高浓度的3,5-二羟基烷基能够断裂dna。因此用于抑制和治疗由逆转录酶病毒引起的人体免疫功能缺乏症、癌症和其它恶性肿瘤等,效果显著。3,5‑二羟基烷基还可以用来合成大麻素(cannabinoids),大麻素是大麻中对人体的生理活性有关的一类化学结构相似的物质的总称,数目超过60种,可以用于止痛、镇静、抗炎、助消化和抗高血压。这类化合物中的代就是3,5‑二羟基戊(olivetol),
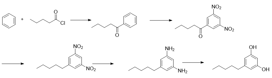
制备[1]

将156g,900ml二氯甲烷和146.5g无水三氯化铝加入到2l三口烧瓶中,降温至0-5℃后,缓慢滴加120.5g正戊酰氯,滴加过程保持内温0-10℃。滴加完毕后升温至40℃,搅拌反应2h。在冰浴冷却下,缓慢滴加500ml的1n盐酸溶液,滴加完毕后,分液。水相再用400mldcm萃取。合并有机相后浓缩减压蒸馏获得142g戊酮,收率87%。
在1l三口烧瓶中,控制20℃以内将200ml发烟硝酸和200ml5%配成混酸,然后降温至10℃以内,缓慢滴加129.6g戊酮,滴加过程控制内温0-10℃。滴加完毕保温反应2h后升温至50℃,再反应5h。降温至20℃后将反应液倾入碎冰中,析出固体,过滤,滤饼用dcm溶解后分液,有机相再浓缩获得粗品。粗品用pe与ea混合溶解结晶并干燥获得156.5g的3,5-二硝基戊酮,收率78%,纯度98.3%。
将151.3g的3,5-二硝基戊酮,900ml乙二醇二甲醚加入2l三口烧瓶中,降温至0-5℃后缓慢滴加159.6g三氟,滴加完毕后控制0-5℃下分批加入56gnabh4后保温过夜,反应结束后控制20℃以内滴加500ml2n盐酸,滴加完毕后,在20-30℃搅拌2h,分液。水相再用400mldcm萃取,合并有机相浓缩干得144.3g3,5-二硝基戊粗品,粗品不纯化直接用于下一步反应时的投入。
将700ml水,144g氯化铵和700ml乙醇加入到2l三口烧瓶中,搅拌溶解,再加入160g铁粉,搅拌控温25-35℃后分批加入合成获得的144.3g3,5-二硝基戊粗品,滴加完后保温反应2h后升温至回流再反应5h,降温至25-30℃,过滤。滤液浓缩干后用乙醇:水=1:1的混合溶剂结晶,获得86.6g3,5-二氨基戊,纯度96.7%,两步总收率81%。
将71.3g的3,5-二氨基戊用300ml事先配好的40%溶液溶解,加入100mldcm萃杂。水相转移至1l三口烧瓶,搅拌降温至5℃以内,由下口插入液面以下的滴液漏斗滴加亚硝酸钠溶液(60g亚硝酸钠溶于160ml水),滴加过程控温5℃以下,加料完毕后,搅拌5min,然后加入3g尿素,此重氮盐溶液保存在冰浴下备用。
将300g无水钠,400g和400ml水加入至另一带有滴液漏斗和蒸馏冷凝装置的2l三口烧瓶,加热至回流后缓慢滴加上述冰水浴下备用的重氮溶液,滴加完后保温反应1h,加入300mldcm萃取,有机相用100ml水反洗一次。有机相中加入200ml水,再用naoh调ph值至10-11,分液,有机相用50ml水萃取,合并水相后用盐酸调ph值至1,调酸过程逐渐析出固体。过滤,滤饼用50ml水淋洗,控温20-30℃下鼓风干燥至水分1.0%以内获得56.4g3,5-二羟基戊(olivetol),纯度98.7%,收率78%。
应用[3]
cn201611230150.7公开了一种大麻酚类化合物的合成方法,其步骤是以3,5-二羟基戊为起始原料,经酚羟基苄基保护,2-吡啶磺酰基保护,醋酸钯为催化剂、氧气为氧化剂、两个芳基碳氢键直接偶联一步合成6h-并[c]色烯类化合物,再经氧化,脱保护,甲基化,高收率的合成大麻酚。本发明方法实现了通过-c-h-键活化直接氧化芳基偶联作为合成大麻酚的关键步骤,高效,简洁的合成大麻酚。其与传统方法相比操作简单,反应收率更高,环境友好,原子利用率高。
参考文献
[1][中国发明]cn201711345526.33,5-二羟基戊的合成方法
[2][中国发明]cn201210511883.3一种烷基保护的3,5-二羟基烷基的合成方法
[3][中国发明,中国发明授权]cn201611230150.7一种大麻酚类化合物的合成方法



