
结构式
| 物竞编号 | 037y |
|---|---|
| 分子式 | c19h10br4o5s |
| 分子量 | 669.96 |
| 标签 |
四溴酚磺酞, 四溴酚磺酰酞, 四溴酚磺酚酞, 3',3'',5',5''-tetrabromophenolsulfonephthalein, 指示剂 |
编号系统
cas号:115-39-9
mdl号:mfcd00005875
einecs号:204-086-2
rtecs号:sj7453000
brn号:61698
pubchem号:24891504
物性数据
1. 性状:浅黄色至棕黄色粉末。
2. 密度(g/ml,25/4℃):未确定
3. 相对蒸汽密度(g/ml,空气=1):未确定
4. 熔点(ºc):279℃(分解)。
5. 沸点(ºc,常压):未确定
6. 沸点(ºc,5.2kpa):未确定
7. 折射率:未确定
8. 闪点(ºc): 未确定
9. 比旋光度(º):未确定
10. 自燃点或引燃温度(ºc):未确定
11. 蒸气压(kpa,25ºc):未确定
12. 饱和蒸气压(kpa,60ºc):未确定
13. 燃烧热(kj/mol):未确定
14. 临界温度(ºc):未确定
15. 临界压力(kpa):未确定
16. 油水(辛醇/水)分配系数的对数值:未确定
17. 爆炸上限(%,v/v):未确定
18. 爆炸下限(%,v/v):未确定
19. 溶解性:易溶于氢氧化钠溶液,溶于甲醇、乙醇和,微溶于水(约0.4g/100ml).其钠盐溶于水。
毒理学数据
暂无
生态学数据
对水体没有危害。
分子结构数据
1、 摩尔折射率:123.26
2、 摩尔体积(cm3/mol):304.5
3、 等张比容(90.2k):893.7
4、 表面张力(dyne/cm):74.1
5、 极化率(10-24cm3):48.86
计算化学数据
1.疏水参数计算参考值(xlogp):无
2.氢键供体数量:2
3.氢键受体数量:5
4.可旋转化学键数量:2
5.互变异构体数量:3
6.拓扑分子极性表面积92.2
7.重原子数量:29
8.表面电荷:0
9.复杂度:662
10.同位素原子数量:0
11.确定原子立构中心数量:0
12.不确定原子立构中心数量:0
13.确定化学键立构中心数量:0
14.不确定化学键立构中心数量:0
15.共价键单元数量:1
性质与稳定性
避免与强氧化物接触。
贮存方法
1.储存于阴凉、通风的库房。远离火种、热源。
2.应与氧化剂等分开存放,切忌混储。
3.配备相应品种和数量的消防器材。
4.储区应备有泄漏应急处理设备和合适的收容材料。
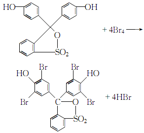
合成方法
1.将酚红溶于冰,搅拌下加入溴溶于冰的溶液,搅拌几分钟后倾入60℃热水中,冷却至室温,放置过夜。过滤,依次用冰、洗涤滤饼,晾干,得溴酚蓝。2.将酚红溶于冰中,加热至沸,滴加溴溶于冰中的溶液,黄色固体析出时,过滤,用洗去游离溴,置于空气中干燥后即得粗品。用冰或丙酮与冰混合溶剂重结晶,得纯品溴酚蓝。3.将酚红和溴分别溶于醋酸中,制成溶液。先将酚红醋酸溶液加热至沸,然后在搅拌下缓慢加入溴的醋酸溶液:当酚红反应完全且黄色晶体不再析出后,冷却,过滤。用少量醋酸洗去结晶中的游离溴后,用醋酸或丙酮 醋酸进行重结晶,在空气中干燥得纯品溴酚蓝。
用途
1.用作酸碱指示剂,ph变色范围3.0(黄色)~4.6(紫色)。还可作为吸附指示剂。
2.还用作薄层色谱法测定脂族羧酸、糖醇和含氯农药的试剂,光度法测定季铵阳离子的萃取分离剂。



