
结构式
| 物竞编号 | 03vb |
|---|---|
| 分子式 | c4h7no4 |
| 分子量 | 133.10 |
| 标签 |
暂无 |
编号系统
cas号:142-73-4
mdl号:mfcd00004280
einecs号:205-555-4
rtecs号:ai2975000
brn号:878499
pubchem号:24880393
物性数据
一、物性数据
1. 性状:白色粉末
2. 熔点(ºc):243 ºc
3. 相对密度(ºc,25/4):1.56
4 . 溶解性:溶于水, 难溶于醇、 丙酮和。
毒理学数据
二、毒理学数据:
1、急性毒性:
小鼠腹腔ld50:250 mg/kg
生态学数据
三、生态学数据:
其它有害作用:该物质对环境可能有危害,对水体应给予特别注意。
分子结构数据
五、分子性质数据:
1、 摩尔折射率:27.30
2、 摩尔体积(cm3/mol):92.6
3、 等张比容(90.2k):262.8
4、 表面张力(dyne/cm):64.8
5、 极化率(10-24cm3):10.82
计算化学数据
1.疏水参数计算参考值(xlogp):-3.3
2.氢键供体数量:3
3.氢键受体数量:5
4.可旋转化学键数量:4
5.互变异构体数量:无
6.拓扑分子极性表面积86.6
7.重原子数量:9
8.表面电荷:0
9.复杂度:108
10.同位素原子数量:0
11.确定原子立构中心数量:0
12.不确定原子立构中心数量:0
13.确定化学键立构中心数量:0
14.不确定化学键立构中心数量:0
15.共价键单元数量:1
性质与稳定性
1.常温常压下稳定。
禁配物:氧化剂
2.与酸、 碱生成盐, 还和多种金属形成螯合物
贮存方法
1.常温干燥密封保存。
2.不可与酸、 碱等共贮混运
合成方法
1.氯钠法 由氯制备氯钠,再与水合肼反应生成肼抱二,后在亚硝酸钠作用下制得亚氨基。
2.氯和氨基法
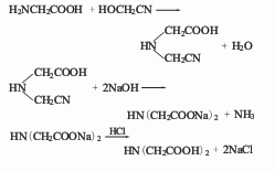
3.氨基和乙醇腈法

用途
1.亚氨基二是除草剂草甘膦的中间体。
2.用于农药、橡胶和氨羧络合物,大量用作草甘膦的原料.
3.用作络合剂,也用于有机合成.
4.用于草甘膦的合成,还用作氨基酸型螯合树脂的合成原料,也是橡胶、电镀工业的重要原料和中间体,还用作表面活性剂,络合剂的中间体。
5.亚氨基二用作电镀或化学镀的络合剂。



