
结构式
| 物竞编号 | 03ue |
|---|---|
| 分子式 | c6h7cl2n |
| 分子量 | 164.03 |
| 标签 |
3-氯胺盐酸盐, 盐酸-3-氯胺, 盐酸间氯胺, 芳香族含氮化合物及其衍生物 |
编号系统
cas号:141-85-5
mdl号:mfcd00035485
einecs号:205-506-7
rtecs号:bx1393800
brn号:3623168
pubchem号:暂无
物性数据
1. 性状:灰白色片状结晶或粉末
2. 熔点(ºc):221.5~222.5
3. 溶解性:易溶于水和酒精。
毒理学数据
1、慢性毒性/致癌性
大鼠经口tdlo:650 mg/kg/13w-i;
小鼠进口tdlo:975 mg/kg/13w-i。
生态学数据
其它有害作用:该物质对环境可能有危害,对水体应给予特别注意。
分子结构数据
1、 摩尔折射率:35.38
2、 摩尔体积(cm3/mol):103.6
3、 等张比容(90.2k):268.9
4、 表面张力(dyne/cm):45.3
5、 极化率(10-24cm3):14.02
计算化学数据
1.疏水参数计算参考值(xlogp):无
2.氢键供体数量:2
3.氢键受体数量:1
4.可旋转化学键数量:0
5.互变异构体数量:无
6.拓扑分子极性表面积26
7.重原子数量:9
8.表面电荷:0
9.复杂度:74.9
10.同位素原子数量:0
11.确定原子立构中心数量:0
12.不确定原子立构中心数量:0
13.确定化学键立构中心数量:0
14.不确定化学键立构中心数量:0
15.共价键单元数量:2
性质与稳定性
常温常压下稳定。
禁配物:氧化剂
本品有毒。急性中毒时昏迷、发绀,严重者休克并有生命危险。猫皮上涂本品油膏后3天即死。生产车间空气中高容许浓度0.05mg/m3。生产车间应通风良好,设备应密闭。操作人员应戴好防护用具,避免直接接触,切忌吸入和吞入。
贮存方法
密封保存。
采用内衬塑料袋的铁桶包装,每桶20kg或40kg。贮存在干燥、通风的地方,防止受热、受潮。按有毒化学品规定贮运。
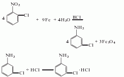
合成方法
间硝基氯用铁粉还原得到间氯胺,经蒸馏,再与盐酸成盐析出,过滤,干燥,得成品。工业品干品重氮值≥95%。原料消耗定额:间氯胺(98%)840kg/t、盐酸(31%)882kg/t。

用途
冰染染料色基,主要用于棉、麻、粘胶织物的染色和印花的显色剂,也用作医药和农药的中间体。



