
结构式
| 物竞编号 | 03u0 |
|---|---|
| 分子式 | c2h7no |
| 分子量 | 61.08 |
| 标签 |
2-羟基乙胺, 2-氨基乙醇, 一乙醇胺, 单乙醇胺, 1-氨基乙醇2-氨基乙醇, 氨基乙醇, 乙醛合氨乙醇胺, 胆胺, b-hydroxyethylamine, 2-aminoethanol, monoethanolamine, mea |
编号系统
cas号:141-43-5
mdl号:mfcd00008183
einecs号:205-483-3
rtecs号:kj5775000
brn号:505944
pubchem号:24865720
物性数据
1. 性状:无色透明的粘稠液体,有吸湿性和氨臭。
2. 沸点(ºc,101.3kpa):170.3
3. 熔点(ºc):10.53
4. 相对密度(g/ml,20/4ºc):1.109
5. 相对密度(g/ml,20/20ºc):1.0179
6. 相对蒸汽密度(g/ml,空气=1):2.11
7. 折射率(20ºc):1.4539
8. 黏度(mpa·s,15ºc):30.855
9. 黏度(mpa·s,30ºc):13.9
10. 黏度(mpa·s,90ºc):2.3
11. 闪点(ºc,开口):93
12. 蒸发热(kj/mol,b.p.):49.86
13. 熔化热(kj/mol):20.515
14. 燃烧热(kj/mol,25ºc):924.99
15. 比热容(kj/(kg·k),30ºc,定压):2.78
16. 临界温度(ºc):44.1
17. 体膨胀系数(k-1,20ºc):0.00077
18. 蒸气压(kpa,60ºc):0.8
19. 溶解性:能与水、乙醇和丙酮等混溶,微溶于和四氯化碳. 25℃时,在中的溶解度为1.4%,在中的溶解度为2.1%,在四氯化碳中的溶解度为0.2%
毒理学数据
1、生殖毒性:大鼠经口tdlo:500 mg/kg;大鼠经口tdlo:4500 mg/kg;
大鼠经皮tdlo:2250 mg/kg。
2、刺激数据:鼠经口ld50:140mg/kg;口服- 小鼠 lc50:700 毫克/ 公斤。
3、本品对皮肤、眼、黏膜、肺的刺激性强。工作场所高容许浓度7.485mg/m3。大嗅觉阈浓度为5.0~7.5mg/m3。在嗅觉阈浓度以下可防止吸入中毒。较高浓度引起呼吸道刺激,反复大量接触可致肝、肾损害。
生态学数据
该物质对环境可能有危害,对水体应给予特别注意。
分子结构数据
1、 摩尔折射率:16.38
2、 摩尔体积(cm3/mol):62.7
3、 等张比容(90.2k):157.4
4、 表面张力(dyne/cm):39.7
5、 极化率(10-24cm3):6.49
计算化学数据
1.疏水参数计算参考值(xlogp):无
2.氢键供体数量:2
3.氢键受体数量:2
4.可旋转化学键数量:1
5.互变异构体数量:无
6.拓扑分子极性表面积46.2
7.重原子数量:4
8.表面电荷:0
9.复杂度:10
10.同位素原子数量:0
11.确定原子立构中心数量:0
12.不确定原子立构中心数量:0
13.确定化学键立构中心数量:0
14.不确定化学键立构中心数量:0
15.共价键单元数量:1
性质与稳定性
1.常温常压下稳定。在室温下为无色透明的粘稠液体,有吸湿性和氨臭。 能与水、乙醇和丙酮等混溶,微溶于和四氯化碳。能与无机酸和有机酸生成盐类,与酸酐作用生成酯。有吸湿性,并能吸收空气中二氧化碳。可燃,遇明火、高热有燃烧的危险。低毒。呈弱碱性。
禁配物:酸类、酸酐、酰基氯、铝、铜。
化学性质:有醇和伯胺的性质。与酸作用生成铵盐。与脂肪酸在高温(140~160℃)加热或与酯反应生成酰胺。与加热生成酯,再与氢氧化钠一起加热转变成亚乙基胺。与甲醛反应生成羟甲基衍生物。与脂肪族胺和芳香醛反应生成schiff碱。与卤代烷反应氮原子上发生烷基化。与环氧乙烷反应生成聚酯、聚酰胺。与二硫化碳反应生成二硫代氨基甲酸。2-氨基乙醇与氨一起通过金属还原催化剂生成哌啶。与钴、铜等金属生成络盐。
2.乙醇胺的稀溶液具有非常弱的碱性和刺激性,随着其浓度的增大,对眼、皮肤和黏膜有刺激性。小鼠经口ld50为700mg/kg,大鼠经口ld50为2100mg/kg。操作现场高容许浓度6mg/m3。操作时应穿戴防护用品。溅入眼内时,应立即清洗。
贮存方法
1.密封保存在阴凉、通风、干燥的库房内,防火、防潮。可用玻璃、不锈钢或铝制容器充入氮气贮存。对铜或铜合金有腐蚀作用,不宜用作容器。
2.用塑料桶或新铁桶包装,每桶分别为(200±0.5)kg或(180±0.5)kg两种,每批产品平均每桶净重达到200kg或180kg。工业用乙醇胺应贮存在清洁、阴凉干燥通风的仓库中,在运输过程中应防漏、防火、防潮。
合成方法
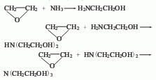
1.乙醇胺常存在于磷脂中,并常与胆碱共存,因此也称为胆胺。在血清蛋白腐烂发酵液中也发现有乙醇胺。工业上乙醇胺可由氨与环氧乙烷反应制得。将环氧乙烷、氨水送入反应器中,在反应温度30-40℃,反应压力70.9-304kpa下,进行缩合反应生成一、二、三乙醇胺混合液,在90-120℃下经脱水浓缩后,送入三个减压精馏塔进行减压蒸馏,按不同沸点截取馏分,则可得纯度达99%的一乙醇胺、二乙醇胺和三乙醇胺成品。在反应过程中,如加大环氧乙烷比例,则二、三乙醇胺生成比例增大,可提高二、三乙醇胺的收率。
2.乙醇胺可由氨与环氧乙烷反应制得。
环氧乙烷、氨水溶液和循环氨一起进入不锈钢制成的反应器,内设冷却装置,反应温度30~40℃,反应压力0.7~3mpa。反应产物进入脱氨塔,脱除的氨返回氨吸收器制备氨水溶液,塔底产物经蒸发浓缩和干燥脱水即得粗乙醇胺。采用减压蒸馏将一乙醇胺、二乙醇胺和三乙醇胺分别蒸出,纯度可达到98%~99%,环氧乙烷的转化率接近100%,乙醇胺的收率为95%左右。另外,尚有少量副产物聚醚生成,在原料中配入少量的二氧化碳可以减少副产物的生成。


3.由环氧乙烷和氨水在30~40℃下、70.1~304kpa下缩合而成,其为单、二、三乙醇胺的混合液,在90~120℃下脱水、浓缩,然后于精馏塔中减压蒸馏,截取168~174℃馏分而得。
精制方法:易含杂质有水、乙二醇、二乙醇胺、三乙醇胺等。常压下蒸馏时部分发生分解,可在减压下(约0.667kpa)反复分馏精制。分馏时注意防止吸收二氧化碳。馏出物用洗涤,乙醇重结晶后可得纯品。
4.乙醇胺的制备采用环氧乙烷氨化工艺,可分为连续和间歇两种方法,同时可得到一乙醇胺、二乙醇胺和三乙醇胺三种产品。通常采用改变氨与环氧乙烷的物质的量的比来调整三种产品的产出量。在连续生产过程中,原料氨和环氧乙烷经管式反应器反应后,再经脱氨塔、脱水塔和蒸馏塔进行脱氨、脱水和减压精馏处理,即可分别得到一乙醇胺、二乙醇胺和三乙醇胺成品。
用途
1.用作化学试剂、溶剂、乳化剂、橡胶促进剂、腐蚀抑制剂等。用作气相色谱固定液,gb 2760-96规定为允许使用的食品工业用加工助剂。用于除去天然气和石油气中的酸性气体,制造非离子型洗涤剂、乳化剂等。
一乙醇胺主要用作合成树脂和橡胶的增塑剂、硫化剂、促进剂和发泡剂、以及农药、医药和染料的中间体。也是合成洗涤剂、化妆品的乳化剂等的原料。纺织工业作为印染增白剂、抗静电剂、防蛀剂、清净剂。也可用作二氧化碳吸收剂、油墨助剂、石油添加剂。一乙醇胺广泛用作从各种气体(如天然气)中提取酸性组分的净化液。由一乙醇胺盐酸盐环合、中和可制得六水合哌嗪。一乙醇胺盐酸盐经氯化亚砜氯代,再被硫代钠取代,可制得β-氨基乙基硫代盐。这是一种染料中间体,用于生产缩聚翠蓝13g。一乙醇胺与二硫化碳反应可制得在橡胶和制药工业中有应用的中间体硫基噻唑啉。
2.一乙醇胺是重要的缓蚀剂,在锅炉水处理、汽车引擎的冷却剂、钻井和切削油以及其他各类润滑油中起缓蚀作用。但一乙醇胺不宜与亚硝酸盐类缓蚀剂复配使用,以防止亚硝胺致癌物的形成。
3.主要用于石油气、天然气及其他气体中酸性气体(如硫化氢、二氧化碳等)的吸收剂。还可用作增塑剂、防腐剂、促进剂、交联剂、化妆品乳化剂、起泡剂、织物防蛀剂、油墨助剂、印染增白剂、橡胶硫化剂、防静电剂等。也是合成医药、农药、染料中间体及表面活性剂的原料。
4.用作液相色谱溶剂和洗脱剂、添加剂。制备液相色谱固定相时用作封尾剂。
5. 主要用作洗涤剂和溶剂洗涤剂,还用于纺织印染增白剂和乳化剂的制备,也用于二氧化碳吸收剂、油墨助剂、石油添加剂、农药和医药中间体,还可作吸收天然气中酸性气体的溶剂,在化妆品中用作乳化剂基质和渗透剂。
6.一乙醇胺可用作气体净化剂,用于吸收天然气、炼厂气和合成气中的硫化氢、二氧化碳和其他酸性气体。一乙醇胺是制备乳化剂的中间体,用于纺织品加工的抗静电剂、防蛀剂和清净剂。



