
结构式
| 物竞编号 | 03mb |
|---|---|
| 分子式 | c10h8o3nsna |
| 分子量 | 245.23 |
| 标签 |
1-萘胺-4-磺酸钠,四水, 4-氨基-1-萘磺酸单钠盐, 4-氨基-1-萘磺酸钠盐, 1,4酸钠, 1-萘胺-4-磺酸钠, sodium 4-amino-1-naphthalenesulfonate, 芳香族含硫化合物 |
编号系统
cas号:130-13-2
mdl号:mfcd00044844
einecs号:204-975-5
rtecs号:暂无
brn号:暂无
pubchem号:暂无
物性数据
1. 性状:白色至灰白色片状结晶体。略带甜味。
2. 密度(g/ml ,25℃):1.6703
3. 溶解性:易溶于水,水溶液呈蓝色荧光。溶于95%乙醇,不溶于,少量溶于浓的苛性碱溶液和乙醇溶液。
毒理学数据
暂无
生态学数据
暂无
分子结构数据
暂无
计算化学数据
1、 疏水参数计算参考值(xlogp):
2、 氢键供体数量:1
3、 氢键受体数量:4
4、 可旋转化学键数量:1
5、 互变异构体数量:
6、 拓扑分子极性表面积(tpsa):83.2
7、 重原子数量:16
8、 表面电荷:0
9、 复杂度:327
10、同位素原子数量:0
11、确定原子立构中心数量:0
12、不确定原子立构中心数量:0
13、确定化学键立构中心数量:0
14、不确定化学键立构中心数量:0
15、共价键单元数量:2
性质与稳定性
有毒,吸入、吞咽或经皮肤吸收都可引起中毒。生产过程中应注意采取防护措施,生产现场应保持良好的通风操作人员应穿戴防护用具。
贮存方法
采用麻袋内衬塑料袋或双层塑料袋包装。每袋50kg。贮存于阴凉、通风、干燥处。搬运时应防止破。运输时防止日晒和受潮,远离火源。按有毒化学品规定贮运。
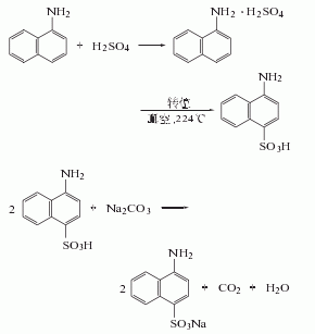
合成方法
生产方法简介
由1-萘胺-4-磺酸,然后再用碳酸钠中和制得。

用途
主要用于生产尼文酸、直接红染料、酸性红染料和食用红色素,如酸性红a、b,酸性大红3r、直接大红g、直接大红4b、直接枣红gb、直接枣红b、直接绿2gn,以及食用大红、食用胭脂红、食用杨梅红、食用苋菜红等染料。也用于制取1,4-萘磺酸等中间体。还可作为亚盐和碘中毒的解药。



