
结构式
| 物竞编号 | 03jp |
|---|---|
| 分子式 | c28h30o4 |
| 分子量 | 430.54 |
| 标签 |
5',5''-diisopropyl-2',2''-dimethylphenolphthalein, 麝香草酚酞, 百里香酚酞, ph值指示剂 |
编号系统
cas号:125-20-2
mdl号:mfcd00005909
einecs号:204-729-7
rtecs号:暂无
brn号:359413
pubchem号:暂无
物性数据
1.性状:无色针状结晶或白色至淡黄色结晶性粉末。
2.熔点:251-252℃(分解)
3.溶解性:溶于乙醇、丙酮,溶于稀碱呈蓝色,溶于呈胭脂红色,不溶于水。
毒理学数据
暂无
生态学数据
暂无
分子结构数据
1、 摩尔折射率:126.12
2、 摩尔体积(cm3/mol):362.4
3、 等张比容(90.2k):961.6
4、 表面张力(dyne/cm):49.5
5、 极化率(10-24cm3):50.00
计算化学数据
1.疏水参数计算参考值(xlogp):6.8
2.氢键供体数量:2
3.氢键受体数量:4
4.可旋转化学键数量:4
5.互变异构体数量:45
6.拓扑分子极性表面积66.8
7.重原子数量:32
8.表面电荷:0
9.复杂度:636
10.同位素原子数量:0
11.确定原子立构中心数量:0
12.不确定原子立构中心数量:0
13.确定化学键立构中心数量:0
14.不确定化学键立构中心数量:0
15.共价键单元数量:1
性质与稳定性
基本性质:遇酸碱变色
贮存方法
贮存:密封保存。
合成方法
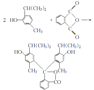
1.将麝香草酚、邻二甲酸酐和无水氯化锌混合,加热。加入及。在水浴上加热回流,倾出上层溶剂,向固体物中加入甲醇,加热。用甲醇抽提剩余的固体物,滴加水出现沉淀、冷却,便得纯品麝香草酚酞。
2.将百里酚、邻二甲酸酐和无水氯化锌混合,搅拌下加热至105~110℃,保温6~8h进行反应:

反应结束后,先冷却,然后加入少量和,水浴加热回流,使未反应的百里酚完全溶解。冷却结晶,分出上层溶剂,在结晶中加入甲醇,抽提产物,收集提取液,往提取液中滴加水至沉淀析出即停止,冷却结晶,即为百里香酚酞。根据纯品要求,可再用热甲醇重复抽提、滴水析出过程。
用途
1.用作ph值指示剂,变色范围为ph值9.4-10.6,由无色变蓝色。酸碱指示剂,用于血液检验。



