
结构式
| 物竞编号 | 03dw |
|---|---|
| 分子式 | c3h3n3o2s |
| 分子量 | 145.14 |
| 标签 |
5-硝基-2-噻唑胺, 2-氨基-5-硝基噻唑, 胺硝噻唑, 醋硝噻唑, 硝胺噻唑, 乙酰胺硝噻唑, 氨硝噻唑, 2-氨基-5-硝基噻唑, 2-amino-5-nitro-thiazol, 5-nitro-2-thiazolamin, 5-nitro-2-thiazolamine, 5-nitro-2-thiazolylamine, aminonitrothiazole, aminonitrothiazolum, aminzolsoluble, amnizolsoluble, 杂环化合物 |
编号系统
cas号:121-66-4
mdl号:mfcd00005326
einecs号:204-490-9
rtecs号:xj2800000
brn号:126797
pubchem号:24848112
物性数据
1. 性状:浅绿色到橙黄色红绒毛状粉末。微有苦味。对光敏感。
2. 密度(g/ml,25/4℃): 未确定
3. 相对蒸汽密度(g/ml,空气=1):未确定
4. 熔点(ºc):195~196
5. 沸点(ºc,常压):未确定
6. 沸点(ºc,5.2kpa):未确定
7. 折射率:未确定
8. 闪点(ºc):未确定
9. 比旋光度(º):未确定
10. 自燃点或引燃温度(ºc):未确定
11. 蒸气压(kpa,25ºc):未确定
12. 饱和蒸气压(kpa,60ºc):未确定
13. 燃烧热(kj/mol):未确定
14. 临界温度(ºc):未确定
15. 临界压力(kpa):未确定
16. 油水(辛醇/水)分配系数的对数值:未确定
17. 爆炸上限(%,v/v):未确定
18. 爆炸下限(%,v/v):未确定
19. 溶解性:1g产品溶于150g 95%乙醇、200g ,溶于稀矿酸,极微溶于水,几乎不溶于氯仿。
毒理学数据
暂无
生态学数据
暂无
分子结构数据
1、 摩尔折射率:33.51
2、 摩尔体积(cm3/mol):86.2
3、 等张比容(90.2k):265.8
4、 表面张力(dyne/cm):90.2
5、 介电常数:
6、 偶极距(10-24cm3):
7、 极化率:13.28
计算化学数据
1.疏水参数计算参考值(xlogp):无
2.氢键供体数量:1
3.氢键受体数量:5
4.可旋转化学键数量:0
5.互变异构体数量:2
6.拓扑分子极性表面积113
7.重原子数量:9
8.表面电荷:0
9.复杂度:125
10.同位素原子数量:0
11.确定原子立构中心数量:0
12.不确定原子立构中心数量:0
13.确定化学键立构中心数量:0
14.不确定化学键立构中心数量:0
15.共价键单元数量:1
性质与稳定性
1. 浅绿色到橙黄色红绒毛状粉末。微有苦味。对光敏感。1g产品溶于150g 95%乙醇、200g ,溶于稀矿酸,极微溶于水,几乎不溶于氯仿。熔点195~196℃。202℃分解。大吸收波长(0.0005%,水中):386nm(ε 0.540)。小吸收波长:295nm。有致癌的可能性。
2. 有毒。刺激皮肤,引起皮炎、荨麻疹、皮肤变褐、甲状腺机能减退、食欲减退、恶心、呕吐等。生产设备应密闭,车间宜有良好的通风。操作人员穿戴防护用具。
贮存方法
本品应密封避光保存。
用内衬塑料袋的铁桶或木桶、塑料桶包装。贮存于阴凉、通风处。防热、防晒、防潮。按有毒化学品规定贮运。
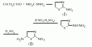
合成方法
以氯乙醛为原料,与硫脲进行反应制得2-氨基噻唑(ⅰ),再经硝化成2-氨基-5-硝基噻唑(ⅱ)。

用途
染料中间体。用作制备偶氮杂环染料的重要中间体,如分散蓝102(分散蓝fg)、82、106、284。



