
结构式
| 物竞编号 | 03de |
|---|---|
| 分子式 | c8h8o3 |
| 分子量 | 152.15 |
| 标签 |
香兰素, 3-甲氧基-4-羟基甲醛, with vanilla aldehyde, with vanilla pigment, 4-hydroxy-3-methoxybenzaldehyde, 天然香料 |
编号系统
cas号:121-33-5
mdl号:mfcd00006942
einecs号:204-465-2
rtecs号:yw5775000
brn号:472792
pubchem号:24901469
物性数据
1. 性状:白色至淡黄色结晶粉末或针状结晶。 2. 熔点(℃):81~82 3. 沸点(℃):285 4. 相对密度:1.056 5. 溶解性:溶于125倍的水、20倍的乙二醇及2倍的95%乙醇,溶于氯仿。
毒理学数据
口服ld50:2~2.8g/kg(大鼠)
生态学数据
暂无
分子结构数据
1、 摩尔折射率:41.56
2、 摩尔体积(cm3/mol):123.5
3、 等张比容(90.2k):324.0
4、 表面张力(dyne/cm):47.3
5、 介电常数:
6、 偶极距(10-24cm3):
7、 极化率:16.47
计算化学数据
1.疏水参数计算参考值(xlogp):无
2.氢键供体数量:1
3.氢键受体数量:3
4.可旋转化学键数量:2
5.互变异构体数量:5
6.拓扑分子极性表面积46.5
7.重原子数量:11
8.表面电荷:0
9.复杂度:135
10.同位素原子数量:0
11.确定原子立构中心数量:0
12.不确定原子立构中心数量:0
13.确定化学键立构中心数量:0
14.不确定化学键立构中心数量:0
15.共价键单元数量:1
性质与稳定性
1.与高级醇和酮类反应产生蓝绿色,与脱氧糖类、氨基酸、胺类反应产生颜色或荧光。
2. 存在于烟叶中。
3. 天然存在于芦笋、咖啡、香荚兰。
贮存方法
内衬聚乙烯袋、外套铁听包装。贮存于干燥通风的库房内。
合成方法
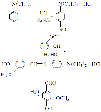
1.将n,n-二甲基胺用盐酸酸化成盐,用亚硝酸钠硝化掉得对亚硝基-n,n-胺盐酸盐。将其与愈创木酚、甲醛在41-43℃缩合。然后用萃取。次蒸馏,用重结晶,再进行第二次蒸馏,用水重结晶。50℃干燥得成品。亚纸浆废液中,含有桦柏醇结构单位的木质素磺酸盐,在碱性条件下氧化,然后水解可得到香草醛。原料消耗(kg/t)愈创木酚(98%) 1460亚硝酸钠 640n,n-二甲基胺(98%) 974盐酸(30%) 6000甲醛(99%) 320
2.将n,n-二甲基胺在30%的盐酸、亚硝酸钠存在下进行亚硝化反应,所得亚硝基化合物与邻甲氧基酚、甲醛进行缩合反应,再水解制得香草醛粗品:

含有对氨基 n,n- 二甲基胺盐酸盐的粗品香草醛经萃取,二次蒸馏,用石油醚重结晶,干燥得到提纯。
3.将2- 甲氧基酚、乙醛酸钠、氢氧化钠在搅拌下加到水中,维持25℃反应24h [2-甲氧基酚∶乙醛酸钠∶氢氧化钠∶水=40∶24∶ 13 ∶ 950( 质量比) ] 。反应结束后,用调节混合物ph值为5,用萃取出未反应的2-甲氧基酚。然后于高压釜中与水、氢氧化钠、氧化铜混合,加175℃,控制压力303.9kpa ,边搅拌边以2l/min速度通入空气90min进行氧化反应。反应结束后,过滤除去氧化铜。所得反应产物用ph值为1.5,用甲基异丁基酮萃取5次,分去水层后,再用调ph值为7.0,于20℃下用甲基异丁基酮再萃取5次,分去水层。加热甲基异丁基酮层以蒸出甲基异丁基酮,之后,在666pa下蒸馏,收集149~151℃馏分为目的产物香草醛成品。
4.以丁香油为基本原料,用酚钠盐法单离出丁香酚以后,按下列反应制取香兰素。
丁香酚异构化生成异丁香酚:

异丁香酚乙酰化生成乙酰基异丁香酚:

乙酰基异丁香酚氧化反应生成乙酰基香兰素:

乙酰基香兰素水解生成香兰素钾盐:

香兰素钾盐酸化生成香兰素:

② 以黄樟油素为原料制取。黄樟油素异构化生成异黄樟油素酚醚:

异黄樟油素酚醚甲基化、水解和氧化反应生成香兰素

③ 以木质素为原料制取。近年来许多国家采用造纸工业亚纸浆废液中的木质素来生产香兰素,由于原料来源丰富,是很有发展前途的合成方法。其反应过程如下:

④ 以愈创木酚为原料制取。
用途
1.可用于调制香草型、巧克力型和奶油型等香精,用量是总香精量的25%~30%。调配好的香精可用于医药和食品工业中。此外,香兰素还可用于化妆品等其他产品中。
2. 用作薄层色谱法检测高级醇、酮类、脱氧糖类、氨基酸类、胺类以及固醇类的显色剂。还用于合成香料。
3.香兰素是重要香料之一。作粉底香料,几乎用于所有香型。如紫罗兰、草兰、葵花、玫瑰、茉莉等。但因易导致变色,在白色加香产品中使用时应注意。香兰素在食品、烟酒中应用也很广泛,在香子兰、巧克力、太妃香型中是必不可少的香料。在糖果中的用量为200×10-6,糖浆中的用量为(370~20000)×10-6,口香糖中用 量 为270×10-6,巧 克 力 中 的 用 量 为970×10-6。
4.是有机合成原料,用于制药工业合成tmp、驱虫药敌菌净等;还用于金属电镀光亮剂,橡胶防臭剂等。在农业香兰素成熟后可用作除草剂,还可作为甘蔗的催熟剂。



