
结构式
| 物竞编号 | 03cw |
|---|---|
| 分子式 | c6h3cl3 |
| 分子量 | 181 |
| 标签 |
三氯 |
编号系统
cas号:120-82-1
mdl号:mfcd00000547
einecs号:204-428-0
rtecs号:dc2100000
brn号:956819
pubchem号:24862633
物性数据
1.性状:无色液体[1]
2.熔点(℃):17[2]
3.沸点(℃):213.5[3]
4.相对密度(水=1):1.45[4]
5.相对蒸气密度(空气=1):6.26[5]
6.饱和蒸气压(kpa):0.13(38.4℃)[6]
7.燃烧热(kj/mol):-2798.7[7]
8.临界压力(mpa):3.72[8]
9.辛醇/水分配系数:4.02[9]
10.闪点(℃):105(cc)[10]
11.引燃温度(℃):571[11]
12.爆炸上限(%):6.6[12]
13.爆炸下限(%):2.5[13]
14.溶解性:不溶于水,微溶于醇,可混溶于、、石油醚、二硫化碳及多数有机溶剂。[14]
15.黏度(mpa·s,55.4ºc):1.5732
16.蒸发热(kj/mol):15.5
17.熔化热(kj/mol):62.4
18.常温折射率(n20):1.5717
19.常温折射率(n25):1.5693
20.溶度参数(j·cm-3)0.5:20.618
21.van der waals面积(cm2·mol-1):1.233×1010
22.van der waals体积(cm3·mol-1):100.980
23.液相标准热熔(j·mol-1·k-1):202.5
24.气相标准声称热(焓)( kj·mol-1) :22.5
25.气相标准热熔(j·mol-1·k-1):129.13
毒理学数据
1、急性毒性:
大鼠经口ld50:756mg/kg;大鼠经皮下ld50:6139mg/kg;小鼠经口ld50:300mg/kg;小鼠腹膜腔ld50:1223mg/kg;
2、其它多剂量毒性:大鼠经口tdlo:280mg/kg/14d-c;大鼠经口tdlo:7380mg/kg/13w-c;
3、生殖数据:大鼠经口tdlo:1800mg/kg/25w-i;大鼠(雌)腹膜腔tdlo:750mg/kg/3d;
4、致突变毒性:小鼠微核试验:210mg/kg/24h;5、毒性和二氯相同,对上呼吸道及黏膜刺激。嗅觉阈浓度0.01mg/l(水质)。
5.急性毒性[15]
ld50:756mg/kg(大鼠经口);6139mg/kg(大鼠经皮);6100mg/kg(兔经皮)
6.刺激性[16] 家兔经皮:1950mg(13周,间断),中度刺激。
7.致突变性[17] 微核试验:小鼠腹腔内给予低中毒剂量(tdlo)210mg/kg(24h)
生态学数据
1.生态毒性[18] lc50:1.95mg/l(48h)(虹鳟鱼);109mg/l(24h),13mg/l(48h),3.36mg/l(96h)(蓝鳃太阳鱼);2.92mg/l(96h)(黑头呆鱼)
2.生物降解性[19]
好氧生物降解(h):672~4320
厌氧生物降解(h):2688~17280
3.非生物降解性[20]
光解大光吸收波长范围(nm):278~286
空气中光氧化半衰期(h):128.4~1284
一级水解半衰期(h):29784
4.生物富集性[21] bcf:420~1140(鲤鱼,接触浓度50μg/l,接触时间6周);120~1300(鲤鱼,接触浓度5μg/l,接触时间6周)
分子结构数据
1、摩尔折射率:40.93
2、摩尔体积(cm3/mol):125.2
3、等张比容(90.2k):314.8
4、表面张力(dyne/cm):39.9
5、极化率16.22
计算化学数据
1.疏水参数计算参考值(xlogp):无
2.氢键供体数量:0
3.氢键受体数量:0
4.可旋转化学键数量:0
5.互变异构体数量:无
6.拓扑分子极性表面积0
7.重原子数量:9
8.表面电荷:0
9.复杂度:94.3
10.同位素原子数量:0
11.确定原子立构中心数量:0
12.不确定原子立构中心数量:0
13.确定化学键立构中心数量:0
14.不确定化学键立构中心数量:0
15.共价键单元数量:1
性质与稳定性
1.干燥纯净的1,2,4-三氯对金属无腐蚀性。在热和水作用下,放出微量腐蚀性强的氯化氢。水解生成2,5-二氯酚。硝化生成2,4,5-三氯硝基。
2.稳定性[22] 稳定
3.禁配物[23] 强氧化剂
4.避免接触的条件[24] 受热
5.聚合危害[25] 不聚合
6.分解产物[26] 氯化氢
贮存方法
储存注意事项[27] 储存于阴凉、通风的库房。远离火种、热源。保持容器密封。应与氧化剂、食用化学品分开存放,切忌混储。配备相应品种和数量的消防器材。储区应备有泄漏应急处理设备和合适的收容材料。
合成方法
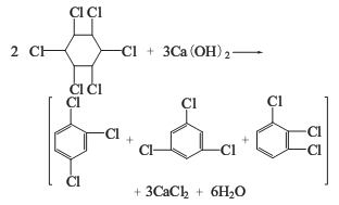
1.热解法干燥的六六六无毒体在热解釜中加热热即得三氯,同时副产大量氯化氢。

2.碱解法六六六无毒体与石灰乳共热即得三氯,同时副产大量氯化钙液。

上述二法所得三氯均为1,2,4-三氯;1,3,5-三氯;1,2,3-三氯三种异构体的混合物,以1,2,4-三氯为主要组分。石灰乳法生产的三氯中,1,2,4-三氯含量在75%以上,1,2,3-三氯约占20%。
用途
1.医药;染料;农药的原料,也是用途很广的高沸点溶剂,变压器内电阻液的原料。用作高熔点物质重结晶用溶剂、电器设备冷却剂、润滑油添加剂、脱脂剂、油溶性染料溶剂、白蚁驱除剂等,也用作制造2,5-二氯酚的原料。工业品为各种异构体(1,2,3-,1,2,4-,1,2,5-三氯)的混合物。
2.用作溶剂及染料、绝缘液、杀虫剂的合成,也作热载体,及用于有机合成。[28]



