
结构式
| 物竞编号 | 03cp |
|---|---|
| 分子式 | c8h11no |
| 分子量 | 137.18 |
| 标签 |
2-氨基-4-甲基甲醚, 对甲酚定, 甲氧基克利西丁, 克利西丁, 克利西定, 邻氯基对甲基甲醚, 2-甲氧基-5-甲基胺, 3-甲基-6-甲氧基胺, 2-amino-4-methylphenolmethylether, 2-amino-p-cresol methyl ether, 2-amino-p-cresolmethylether, 2-methoxy-5-methyl-benzenamin, 2-methoxy-5-methylbenzenamine, 2-methoxy-5-methyl-benzenamine, 3-amino-para-cresol,methylether, 4-methyl-2-aminoanisole, 芳香族含氮化合物及其衍生物 |
编号系统
cas号:120-71-8
mdl号:mfcd00007815
einecs号:204-419-1
rtecs号:bz6720000
brn号:637071
pubchem号:24869810
物性数据
1. 性状:白色结晶
2. 熔点(℃):51.5
3. 沸点(ºc):235
4. 溶解性:难溶于水,溶于乙醇、和盐酸,不溶于。
毒理学数据
有毒,鼠经口ld50:1450mg/kg。
生态学数据
暂无
分子结构数据
1、 摩尔折射率:41.99
2、 摩尔体积(cm3/mol):131.9
3、 等张比容(90.2k):327.4
4、 表面张力(dyne/cm):37.8
5、 介电常数:
6、 偶极距(10-24cm3):
7、 极化率16.64
计算化学数据
1.疏水参数计算参考值(xlogp):无
2.氢键供体数量:1
3.氢键受体数量:2
4.可旋转化学键数量:1
5.互变异构体数量:无
6.拓扑分子极性表面积35.2
7.重原子数量:10
8.表面电荷:0
9.复杂度:105
10.同位素原子数量:0
11.确定原子立构中心数量:0
12.不确定原子立构中心数量:0
13.确定化学键立构中心数量:0
14.不确定化学键立构中心数量:0
15.共价键单元数量:1
性质与稳定性
本品有毒、有刺激性。受热散发出有毒气体。皮肤接触用水冲洗,再用肥皂彻底洗涤。
贮存方法
包装采用玻璃瓶外木箱内衬垫料。贮存于阴凉、通风的仓库内,远离火种、热源避免阳光直射,与食用原料隔离贮运。
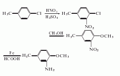
合成方法
1.由对氯硝化、甲氧基化、还原而得。在15-20℃将混酸加入对氯中,在30℃搅拌2h,用水稀释,分离废酸,水洗得4-氯-3-硝基(收率30.6%)和4-氯-2-硝基(收率56.7%),用分馏和结晶法将两者分离,得4-氯-3-硝基。将其与甲醇及甲醇钠溶液反应,用中和分离,得3-硝基-4-甲氧基,收率85.6%。用水、铁粉、甲酸还原后,再用溶剂汽油多次萃取蒸馏而得。

2.由对甲酚硝化得到2-硝基-4-甲酚,再与二甲酯甲基化为3-硝基-4-对甲氧基,后用硫化碱还原而得。3.对氯-n,n-二乙基苄胺法 经硝化、甲氧基化、还原反应制得。

用途
本品是一种染料中间体。在直接染料方面用于合成c.i.29050、29065、27885等,在酸性染料方面用于合成c.i.14940、14965等,还用于制造分散大红gc、直接耐晒蓝3rll、直接黑d、活性黄棕k-gr、阳离子黄4g等。



