
结构式
| 物竞编号 | 032d |
|---|---|
| 分子式 | c4h9no |
| 分子量 | 87.12 |
| 标签 |
四氢-1,4-恶嗪, 1,4-氧氮六环, 1,4-氧氮杂环己烷, 四氢-1,4-噁嗪, 吗啉, 吗啡啉, 1,4-氧氮杂环已烷, 对氧氮六环, 1-oxa-4-azacyclohexane, 1,4-oxazinan;tetrahydro-1,4-oxazinan, 杂环化合物, 缓蚀剂 |
编号系统
cas号:110-91-8
mdl号:mfcd00005972
einecs号:203-815-1
rtecs号:qd6475000
brn号:102549
pubchem号:24864597
物性数据
1.性状:无色油状吸湿性液体,有氨味。[11]
2.熔点(℃):-5[12]
3.沸点(℃):128.9[13]
4.相对密度(水=1):1.00[14]
5.相对蒸气密度(空气=1):3.0[15]
6.饱和蒸气压(kpa):1.06(20℃)[16]
7.临界温度(℃):344[17]
8.临界压力(mpa):5.302[18]
9.辛醇/水分配系数:-0.86[19]
10.闪点(℃):38(oc)[20]
11.引燃温度(℃):310[21]
12.爆炸上限(%):11.2[22]
13.爆炸下限(%):1.4[23]
14.溶解性:与水混溶,可混溶于多数有机溶剂。[24]
15.黏度(mpa·s,15ºc):2.5334
16.黏度(mpa·s,20ºc):2.33
17.蒸发热(kj/mol):43.96
18.熔化热(kj/mol):14.53
毒理学数据
1.急性毒性[25]
ld50:1450mg/kg(大鼠经口);525mg/kg(小鼠经口);500μl(500mg)/kg(兔经皮)
lc50:8000ppm(大鼠吸入,8h)
2.刺激性[26]
家兔经皮:995mg(24h),重度刺激。
家兔经眼:2mg,重度刺激。
3.亚急性与慢性毒性[27] 大鼠吸入6.4g/m3(反复吸入),眼、呼吸道刺激,肺、肝和肾有病变。
生态学数据
1.生态毒性[28]
lc50:350~400mg/l(96h)(鱼)
ic50:1.7~4.1mg/l(72h)(藻类)
2.生物降解性 暂无资料
3.非生物降解性 暂无资料
4.其他有害作用[29] 该物质对环境有危害,应特别注意对地表水、土壤、大气和饮用水的污染。
分子结构数据
1、摩尔折射率:23.40
2、摩尔体积(cm3/mol):93.5
3、等张比容(90.2k):217.6
4、表面张力(dyne/cm):29.2
5、极化率(10-24cm3):9.27
计算化学数据
1.疏水参数计算参考值(xlogp):无
2.氢键供体数量:1
3.氢键受体数量:2
4.可旋转化学键数量:0
5.互变异构体数量:无
6.拓扑分子极性表面积21.3
7.重原子数量:6
8.表面电荷:0
9.复杂度:34.5
10.同位素原子数量:0
11.确定原子立构中心数量:0
12.不确定原子立构中心数量:0
13.确定化学键立构中心数量:0
14.不确定化学键立构中心数量:0
15.共价键单元数量:1
性质与稳定性
1.化学性质:具有仲胺的性质,碱性介于哌啶与哌嗪之间(pka 8.36,25℃)。与脂肪酸、酸酐、酰氯反应,生成酰胺。与烷基化试剂如氯代烷、二烷基酯、甲酸与醛的混合物等反应,生成n-烷基取代物。与酮反应生成烯胺。与氯或次氯酸钠反应生成n-氯代吗啉。在干燥的中与二氧化碳作用,得到氨基甲酸衍生物。在酸性高锰酸钾溶液中逐渐发生氧化作用。
2.蒸气刺激皮肤及眼黏膜,引起呼吸困难,具有全身毒性作用,可引起肝、肾变性及坏死性病变。人体在43mg/l浓度下,作用1min,对鼻黏膜产生强烈的刺激,作用1.5min,出现咳嗽。在倾倒未稀释的本品时,吸入其蒸气者,咽喉即发生剧烈疼痛,咽部黏膜剧烈充血。未稀释的吗啉附在皮肤上可引起难以忍受的疼痛,并能透过皮肤吸收。空气中高容许浓度0.5mg/m3。生产车间要求通风良好,设备要密闭。操作人员要十分注意保护眼睛及皮肤,戴密闭眼镜、手套等。当接触高浓度时,要使用过滤式工业防护面具(a型)。应限制溶液中游离碱的含量不得超过2%。
3.稳定性[30] 稳定
4.禁配物[31] 酸类、酰基氯、酸酐、强氧化剂
5.聚合危害[32] 不聚合
贮存方法
1.储存注意事项[33] 储存于阴凉、通风的库房。远离火种、热源。库温不宜超过37℃。保持容器密封。应与氧化剂、酸类等分开存放,切忌混储。不宜大量储存或久存。采用防爆型照明、通风设施。禁止使用易产生火花的机械设备和工具。储区应备有泄漏应急处理设备和合适的收容材料。
2.溅及皮肤或眼睛时,应立即用水充分冲洗。严密封装于玻璃瓶或陶瓷罐内,外套木桶包装。贮存于阴凉、干燥、通风处。防晒、防潮,远离火种、热源。搬运时轻装、轻卸,避免包装破损。按有毒化学品规定贮运。
合成方法
1.由二乙醇胺经脱水环合而得。将二乙醇胺加入水反应锅内,在60℃以下滴加,加毕,升温于185-195℃,保温30min。冷至60℃以下,滴加氢氧化钠液至ph=11,冷却,过滤,滤液精馏,收集130℃以下馏分,精吗啉含量可达99.5%以上。该法原料易得,目前已成为世界生产吗啉的主要方法。由二噁烷与氨气相催化反应而可制得吗啉。

2.由二乙醇胺在存在下脱水环合而制得。将二乙醇胺加入反应锅内,在60℃以下滴加h2so4,加毕升温至185~195℃,保温30min,冷却至60℃,滴加naoh溶液,使ph=11,冷却过滤,滤液精馏,收集130℃以下馏分即为吗啉。
也可用二乙二醇和氨在催化剂存在和压力下制得吗啉。该方法原料易得,成为目前世界上生产吗啉的主要方法。
精制方法:将吗啉与金属钠一起回流1小时,在干燥氮气流下常压蒸馏精制。或用无水钙干燥后分馏。也可以将吗啉制成草酸盐,用60%%乙醇重结晶2次,加入浓氢氧化钾水溶液使吗啉游离出来,分离后用固体氢氧化钾干燥,再用金属钠干燥,然后分馏。
3.由二甘醇与氨在氢气和镍催化剂存在下于30~40mpa大气压和150~400℃温度下反应制得。或者由二乙醇胺与过量的浓盐酸(或浓)作用制得。
4.在酸性环境下使二乙醇胺闭环就能制成吗啉,然后通过精馏提纯。

用途
1.用作分析试剂,及树脂、蜡类、虫胶等的溶剂。广泛用作树脂、染料、蜡、虫胶、酪朊等的溶剂,锅炉防腐剂和橡胶硫化促进剂。也用于制备表面活性剂、增塑剂、抗氧剂和医药等。
2.用作水处理缓蚀剂,由于其水溶液呈碱性,可以中和水中的游离二氧化碳提高锅炉给水ph值,减缓二氧化碳的腐蚀。可防止锅炉给水的高温酸性氧化物的腐蚀。
3.医药方面用于合成病毒灵、布洛芬、萘谱里甲氧氯普胺、氟联丙酸以及咳必定、甲灭酸等多种重要药物。有机合成方面可用作n-甲基吗啉、n-乙基吗啉、吗啉脂肪酸盐等的中间体和原料。
4.该试剂可以作为碱,可以用来合成烯胺和作为mannich缩合反应时的催化剂。
willgerodt反应 吗啡啉可用来作为kindler改进的willgerodt反应中的胺组分[2],在微波照射下,也能发生这种重排反应 (式1,式2)[3]。

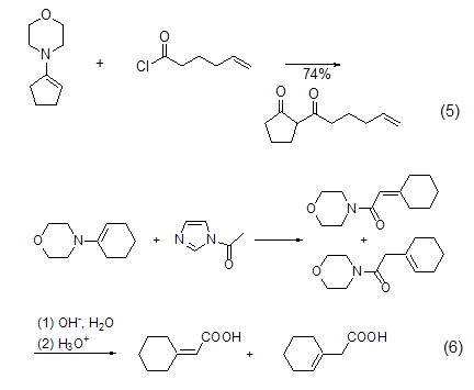
亚胺的形成 吗啡啉是合成烯胺的三个主要二级胺中的一个,碱性比哌啶和四氢吡咯弱,因此烯胺的形成速度要比哌啶和四氢吡咯慢。吗啡啉在形成烯胺的过程中,区域选择性也比吡啶和四氢吡咯差[4]。饱和的醛、酮与吗啡啉合成烯胺时,可以直接在中加热反应[5],或用对磺酸、四氯化钛催化 (式3)[6],也可用微波照射[7],或者与三氟磺酸烯醇酯在pd催化作用下反应生成 (式4)[8]。

吗啡烯胺的应用 虽然吗啡啉合成烯胺时的活性不高,但在合成吡咯烷酮衍生物时,产率较高。典型的例子是环戊烯吗啡啉烯胺的酰基化 (式5)[9]。与乙酰化咪唑作用也可以使吗啡啉烯胺形成酰胺,酸化后得到酸 (式6)[10]。

5.用作分析试剂,及树脂、蜡类、虫胶等的溶剂。[34]



