
结构式
| 物竞编号 | 03cb |
|---|---|
| 分子式 | c14h12o2 |
| 分子量 | 212.24 |
| 标签 |
甲酸苄酯, 甲酸甲酯, 3-哌啶丙酮盐酸盐, benzyl benzoate, benzoic acid phenylmethyl ester, 麝香的溶剂, 香精定香剂, 增塑剂, 昆虫驱避剂, 杀螨剂 |
编号系统
cas号:120-51-4
mdl号:mfcd00003075
einecs号:204-402-9
rtecs号:dg4200000
brn号:2049280
pubchem号:24891923
物性数据
1. 性状: 叶状结晶或无色油状液体。有微弱的香脂样香气。有灼烧味。能随水蒸气挥发。
2. 相对密度(g/ml,18/4℃):1.1121
3. 相对密度(20℃,4℃):1.112125
4. 熔点(ºc):21
5. 沸点(ºc,常压):323.5~324
6. 相对密度(25℃,4℃):1.108530
7. 折射率(21ºc):1.5681
8. 闪点(ºc): 148
9. 黏度(mpa·s,20ºc):8.45
10. 常温折射率(n20):1.5680
11. 常温折射率(n25):1.5672
12. 液相标准热熔(j·mol-1·k-1):332.8
13. 蒸发热(kj/mol,12~60ºc):77.9
14. 临界温度(ºc):未确定
15. 临界压力(kpa):未确定
16. 电导率(s/m,25ºc):<1×10-9
17. 爆炸上限(%,v/v):未确定
18. 爆炸下限(%,v/v):未确定
19. 溶解性:能与乙醇、氯仿、和油类混溶,不溶于水和甘油。
毒理学数据
1、急性毒性:大鼠经口ld50:1700 μl/kg
大鼠经皮下ld50:4ml/kg
小鼠经口lc50:1400μl/kg
小鼠腹腔lc50:>500mg/kg
狗经口ld50:>33440mg/kg
猫经口ld50:2240mg/kg
兔子经口ld50:1680mg/kg
兔子经皮下ld50:4g/kg
豚鼠经口ld50:1ml/kg
2、 其他多剂量毒性:兔子经皮下tdlo:180ml/kg/13w-i;
3、一般使用危险性不大。会刺激皮肤、黏膜。
生态学数据
分子结构数据
1、 摩尔折射率:62.51
2、 摩尔体积(cm3/mol):188.0
3、 等张比容(90.2k):484.2
4、 表面张力(dyne/cm):44.0
5、 介电常数:
6、 偶极距(10-24cm3):
7、 极化率:24.78
计算化学数据
1.疏水参数计算参考值(xlogp):无
2.氢键供体数量:0
3.氢键受体数量:2
4.可旋转化学键数量:4
5.互变异构体数量:无
6.拓扑分子极性表面积26.3
7.重原子数量:16
8.表面电荷:0
9.复杂度:213
10.同位素原子数量:0
11.确定原子立构中心数量:0
12.不确定原子立构中心数量:0
13.确定化学键立构中心数量:0
14.不确定化学键立构中心数量:0
15.共价键单元数量:1
性质与稳定性
1.白色油状液体,稍呈粘稠性,纯品为片状结晶。
2.有微弱的洋李、杏仁香气。 不溶于水和甘油,溶于大多数有机溶剂。
3.化学性质较稳定,在苛性碱作用下能发生水解。
4. 存在于烟气中。
5. 天然存在于秘鲁香脂、吐鲁香脂中,还存在于依兰依兰油、风信子油、晚香玉油等精油中。
贮存方法
本品应密封于阴凉避光处保存。注意火源。
合成方法
1.目前香料工业中采用醇交换法生产甲酸苄酯。由甲酸乙酯和甲醇进行醇交换。
2.由甲酸乙酯与甲醇进行酯交换反应,经水洗、分层、干燥、蒸馏得产品。或者由甲醛缩合制得。
精制方法:常含有游离的酸和醇等杂质。精制时用碳酸氢钠或碳酸钠洗涤,无水碳酸钾或钠干燥后蒸馏。
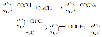
3.过程反应式为:

在三口烧瓶中加入氢氧化钠和水,溶解后再加甲酸,加热溶解后,滴加氯化苄,在106℃回流4h。稍冷,分出酯层,水洗、碱洗,然后减压蒸馏,即得成品。
4. 用氧化镁做为催化剂,用苄醇与甲酸甲酯在200℃左右进行酯交换反应制取。
用途
1.用作麝香的溶剂和香精定香剂,在赛璐珞中用作樟脑的代用品。还用作增塑剂,特别是硝酸纤维素中混有树脂时,可与二甲酸二乙酯或二丁酯混合使用。另外,还用于配制百日咳药、治气喘药和用作昆虫驱避剂、杀螨剂。
2.主要作为定香剂。用于配制草莓、菠萝、樱桃等水果型食用香精和酒类香精,也用于茉莉、铃兰、依兰、栀子、晚香玉、紫丁香等日化香精中。在胶姆糖中使用量为280mg/kg;糖果中39mg/kg;烘烤食品中33mg/kg;软饮料中45mg/kg;冷饮中12mg/kg。
3.用作纤维和硝酸纤维的溶剂。塑料增塑剂。香料固定剂。
4. 广泛应用于日化香精配方中,主要作为填充剂矫香剂使用,还常用作许多高黏稠合成香料的稀释剂。



