吐氏酸 tobias acid

广告位

吐氏酸结构式

结构式

物竞编号 01rv
分子式 c10h9no3s
分子量 223.25
标签

2-氨基-1-萘磺酸;2-萘胺-1-磺酸,

2-amino-1-naphthalenesulfonic acid,

2-naphthylamine-1-sulfonic acid,

芳香族含硫化合物

编号系统

cas号:81-16-3

mdl号:mfcd00003988

einecs号:201-331-5

rtecs号:qk1250000

brn号:613084

pubchem号:24857514

物性数据

1.       性状:在热水中结晶者为无色透明片状结晶,在冷水中结晶者为白色针状含水结晶。

2.       密度(g/ml,25/4℃):不确定

3.       相对蒸汽密度(g/ml,空气=1):不确定

4.       熔点(ºc):不确定

5.       沸点(ºc,常压):不确定

6.       沸点(ºc,5.2kpa):不确定

7.       折射率:不确定

8.       闪点(ºc):不确定

9.       比旋光度(º):不确定

10.    自燃点或引燃温度(ºc):不确定

11.    蒸气压(kpa,25ºc):不确定

12.    饱和蒸气压(kpa,60ºc):不确定

13.    燃烧热(kj/mol):不确定

14.    临界温度(ºc):不确定

15.    临界压力(kpa):不确定

16.    油水(辛醇/水)分配系数的对数值:不确定

17.    爆炸上限(%,v/v):不确定

18.    爆炸下限(%,v/v):不确定

19.    溶解性:溶于热水,微溶于冷水,极微溶于乙醇和。

毒理学数据

1、急性毒性

小鼠口径ld50:19400mg/kg

2、神经毒性

兔子眼睛试验:500mg/24h

生态学数据

暂无

分子结构数据

1、   摩尔折射率:58.27

2、   摩尔体积(cm3/mol):148.6

3、   等张比容(90.2k):433.1

4、   表面张力(dyne/cm):72.1

5、   极化率(10-24cm3):23.10

计算化学数据

1、  疏水参数计算参考值(xlogp):1.8

2、  氢键供体数量:2

3、  氢键受体数量:4

4、  可旋转化学键数量:1

5、  拓扑分子极性表面积(tpsa):80.4

6、  重原子数量:15

7、  表面电荷:0

8、  复杂度:322

9、  同位素原子数量:0

10、 确定原子立构中心数量:0

11、 不确定原子立构中心数量:0

12、 确定化学键立构中心数量:0

13、 不确定化学键立构中心数量:0

14、 共价键单元数量:1

性质与稳定性

易氧化、有毒ld501.9g/kg,滴入家兔眼内500mg24h以后有一定刺激作用。操作人员应穿戴防护用具。
有毒,大鼠经口ld50:1900mg/kg。原料2-萘酚有毒,对皮肤、黏膜有强烈刺激作用,易于经皮肤吸收,有强腐蚀性;氯磺酸属一级无机酸性腐蚀品,与皮肤接触能引起严重灼伤。

贮存方法

本品应密封阴凉避光干燥保存。

采用内衬塑料袋外套麻袋,或聚丙烯编织袋或木箱包装。每袋净重50kg。贮存于阴凉、干燥和通风处。贮运时,要注意防晒、防潮、防火。按有毒化学品规定贮运

合成方法

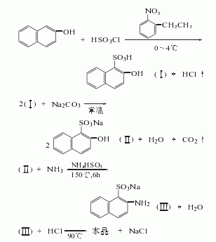
2-萘酚在邻硝基乙溶剂中,以氯磺酸磺化生成2-萘酚-1-磺酸,用纯碱中和分离得2-萘酚-1-磺酸钠,以液氨在亚氢铵存在下氨解,得2-萘胺-1-磺酸钠,再用盐酸酸化、过滤,制得2-萘胺-1-磺酸。

用途

用于有机合成。染料中间体。主要用于制备j酸、双j酸、猩红酸、γ酸、色酚as-sw、活性红k-1613、艳红k-10b、活性艳红m-3be、有机紫红、立索尔紫红、立索尔大红r等,以及荧光增白剂等。

主要用于染料工业,是偶氮染料、偶氮颜料、荧光增白剂的中间体。

广告位
本文来自网络,不代表催化剂网立场,转载请注明出处。若有侵权,请联系我们,马上删除处理!https://www.51teoa.com/28512.html

作者: admin

上一篇
下一篇
联系我们

联系我们

181-3619-1160

在线咨询: QQ交谈

邮箱: 34331943@QQ.com

工作时间:周一至周五,9:00-17:30,节假日休息

关注微信
微信扫一扫关注我们

微信扫一扫关注我们

关注微博
返回顶部
首页
找样品
产品
应用
搜索