
结构式
| 物竞编号 | 02kv |
|---|---|
| 分子式 | c12h8n2o5 |
| 分子量 | 260.20 |
| 标签 |
4,4-二硝基二醚, 4,4'-二硝基醚, 4,4'-二硝基二醚, 4,4'-dinitrodiphenyl oxide, 芳香族含氮化合物及其衍生物 |
编号系统
cas号:101-63-3
mdl号:mfcd00059182
einecs号:202-961-3
rtecs号:kn3450000
brn号:暂无
pubchem号:24878159
物性数据
1. 性状:黄色针状结晶。
2. 密度(g/ml,20℃):未确定
3. 相对蒸汽密度(g/ml,空气=1):未确定
4. 熔点(ºc):140-145
5. 沸点(ºc,常压):未确定
6. 沸点(ºc, kpa):未确定
7. 折射率:未确定
8. 闪点(ºc):未确定
9. 比旋光度(º):未确定
10. 自燃点或引燃温度(ºc): 未确定
11. 蒸气压(mmhg,20.2ºc):未确定
12. 饱和蒸气压(kpa, ºc):未确定
13. 燃烧热(kj/mol):未确定
14. 临界温度(ºc):未确定
15. 临界压力(kpa):未确定
16. 油水(辛醇/水)分配系数的对数值:未确定
17. 爆炸上限(%,v/v):未确定
18. 爆炸下限(%,v/v):未确定
19. 溶解性:易溶于热乙醇,溶于和,微溶于。
毒理学数据
致突变性:突变微生物试验:细菌-鼠伤寒沙门氏菌,50μg/plate;
生态学数据
暂无
分子结构数据
1、 摩尔折射率:65.78
2、 摩尔体积(cm3/mol):183.7
3、 等张比容(90.2k):509.3
4、 表面张力(dyne/cm):59.1
5、 介电常数:
6、 偶极距(10-24cm3):
7、 极化率:26.08
计算化学数据
1.疏水参数计算参考值(xlogp):无
2.氢键供体数量:0
3.氢键受体数量:5
4.可旋转化学键数量:2
5.互变异构体数量:无
6.拓扑分子极性表面积101
7.重原子数量:19
8.表面电荷:0
9.复杂度:290
10.同位素原子数量:0
11.确定原子立构中心数量:0
12.不确定原子立构中心数量:0
13.确定化学键立构中心数量:0
14.不确定化学键立构中心数量:0
15.共价键单元数量:1
性质与稳定性
本品有毒。有刺激性。味苦。能通过呼吸道或皮肤吸收,引起中毒。能使唾液、鼻黏膜变黄,皮肤、头发变褐,并且洗不掉。苦味酸中毒时呈现头痛、恶心、神经炎、妇女闭经。工作场所空气中高容许浓度0.1×10-6。大鼠经口ld50120mg/kg。生产设备要密闭。室内保持湿润和良好通风。操作人员要穿戴防护用具。
贮存方法
采用木桶内衬塑料袋包装,每桶25kg。贮存在阴凉、通风的仓库内。贮存时要保持含10%水分。按易燃易爆物品规定贮运。
合成方法
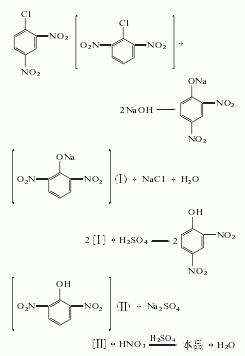
2,6-油(2,4-和2,6-二硝基氯)以氢氧化钠水解,得2,4-和2,6-二硝基酚钠,酸化后用混酸硝化,经吸滤水洗得成品。

用途
用于有机合成,染料中间体。



