
结构式
| 物竞编号 | 02h1 |
|---|---|
| 分子式 | c6h5no3 |
| 分子量 | 139.11 |
| 标签 |
4-硝基-1-羟基, 4-硝基酚, 4-硝基酚, 硝基酚, 对羟基硝基酚, 1-hydroxy-4-nitrobenzene, 4-hydroxy-1-nitrobenzene, 4-nitrofenol, 4-nitro-phenol, mononitrophenol, paranitrofenol, p-hydroxynitrobenzene, 芳香族含氮化合物及其衍生物 |
编号系统
cas号:100-02-7
mdl号:mfcd00007331
einecs号:202-811-7
rtecs号:sm2275000
brn号:1281877
pubchem号:24846675
物性数据
1.性状:无色至淡黄色结晶粉末,有似苦杏仁的气味。[1]
2.熔点(℃):113~115[2]
3.沸点(℃):279(分解)[3]
4.相对密度(水=1):1.27[4]
5.饱和蒸气压(kpa):0.92(16℃)[5]
6.燃烧热(kj/mol):-2879.2[6]
7.辛醇/水分配系数:1.91[7]
8.闪点(℃):192[8]
9.引燃温度(℃):283[9]
10.溶解性:溶于热水、乙醇、、氯仿。[10]
毒理学数据
1.急性毒性[11] ld50:250mg/kg(大鼠经口)
2.刺激性 暂无资料
3.致突变性[12] dna损伤:大肠杆菌50μmol/l。dna抑制:人成纤维细胞1mmol/l。dna加合物:大肠杆菌50μmol/l。基因转化和有丝分裂重组:酿酒酵母21mmol/l。
生态学数据
1.生态毒性[13]
lc50:64.6mg/l(24h),54.4mg/l(48h),44.1mg/l(72h),41mg/l(96h)(黑头呆鱼);7.9mg/l(96h)(虹鳟鱼);12mg/l(24h),8.3mg/l(96h)(蓝鳃太阳鱼);10mg/l(48h)(高体雅罗鱼);11mg/l(24h)(水蚤)
ec50:4.8mg/l(斜生栅藻);25mg/l(6h)(肋骨条藻);5.5mg/l(24h)(梨形四膜虫)
2.生物降解性[14]
好氧生物降解(h):18.2~168
厌氧生物降解(h):163~235
3.非生物降解性[15]
水相光解半衰期(h):3.1~329
光解大光吸收波长范围(nm):227~310
水中光氧化半衰期(h):642~4.90×104
空气中光氧化半衰期(h):14.5~145
4.生物富集性[16] bcf:2~8(鲤鱼,接触浓度0.2mg/l,接触时间6周);3~5(鲤鱼,接触浓度0.02mg/l,接触时间6周);79(黑头呆鱼);58(金色圆腹雅罗鱼)
分子结构数据
1、摩尔折射率:34.67
2、摩尔体积(cm3/mol):99.7
3、等张比容(90.2k):277.7
4、表面张力(dyne/cm):60.2
5、介电常数:
6、偶极距(10-24cm3):
7、极化率:13.74
计算化学数据
1.疏水参数计算参考值(xlogp):无
2.氢键供体数量:1
3.氢键受体数量:3
4.可旋转化学键数量:0
5.互变异构体数量:2
6.拓扑分子极性表面积66
7.重原子数量:10
8.表面电荷:0
9.复杂度:123
10.同位素原子数量:0
11.确定原子立构中心数量:0
12.不确定原子立构中心数量:0
13.确定化学键立构中心数量:0
14.不确定化学键立构中心数量:0
15.共价键单元数量:1
性质与稳定性
1.稳定性[17] 稳定
2.禁配物[18] 强氧化剂、强还原剂、强碱
3.避免接触的条件[19] 受热
4.聚合危害[20] 不聚合
5.分解产物[21] 氮氧化物
贮存方法
1.储存注意事项[22] 储存于阴凉、通风的库房。远离火种、热源。包装密封。应与氧化剂、还原剂、碱类、食用化学品分开存放,切忌混储。采用防爆型照明、通风设施。禁止使用易产生火花的机械设备和工具。储区应备有合适的材料收容泄漏物。
2.用复合编织袋内衬聚乙烯避光袋包装,每袋净重50kg或100kg。应存放于阴凉、通风、干燥的库房中。远离火种,不得和食品添加剂共贮混运。
合成方法
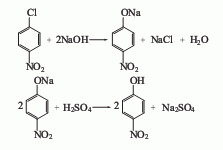
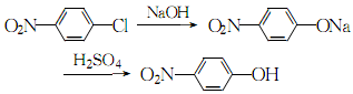
1.制备方法为对硝基氯水解酸化得到对硝基酚。
将浓度为 137~140 g/l 的氢氧化钠溶液加入水解釜中,再加入熔融的对硝基氯。加热至 152℃,釜内压力为 0.4 mpa,然后停止加热,水解反应放热使温度和压力自然上升到165℃,约 0.6 mpa。保持 3h 后取样检查反应终点,反应结束后将水解产物冷至 120℃。将该水解产物和一定量的浓及水加入结晶釜内,并冷却到 50℃ 左右。再加浓使刚果红试纸呈紫色,继续冷至 30℃,抽滤,离心除水,即得到含量为 90%以上的对硝基酚。
2.由酚经硝化成邻硝基酚和对硝基酚,再经蒸气蒸馏分出邻硝基酚后而制得,也可由对氯硝基经水解而成。

3.将熔融的对硝基氯和13%左右的氢氧化钠以1∶ 4.5的配比加到压力水解釜中,边搅拌边加热至150℃,压力达到0.4mpa ,停止加热,温度压力将继续上升至165℃和0.6mpa,保温3h以上检查反应终点:

反应结束后,将水解产物冷至120℃,压到事先配制好的13%的溶液中,并冷到50℃左右。搅拌下慢慢加入浓使刚果红试纸呈紫色,继续冷至30℃,过滤,离心甩干。用少量冷水洗涤结晶至合格,甩干后干燥即得对硝基酚。
用途
1.用于染料制造,药物制造及用作试剂。用于制备硫化草绿gn、硫化还原黑cl、硫化还原黑clb、硫化红棕b3r、硫化还原蓝rnx、海昌蓝rx等。也用于制取染料中间体4-氨基酚。医药工业中用于制取非那西丁和扑热息痛等。还用于制备显影剂米妥尔、农药1605及皮革的防霉剂。
2.用作皮革防腐剂。也是制造染料、药物等的原料,还可用作单色的ph值指示剂,变色范围5.6~7.4,由无色变黄色。
3.用作农药、医药、染料等精细化学品的中间体,制备扑热息痛,非那西丁、显影剂米妥尔、农药1605、硫化染料及皮革的防霉剂。
4.用于染料制造,药物制造及用作试剂。[23]



