背景及概述[1]
四氯二甲酸酐,又称四氯邻二甲酸酐或四氯酐(tcpa),属反应型阻燃剂,广泛用于不饱和聚酯,环氧树脂、聚烯烃、电影胶片等合成材料中,也用于医药农药、军工、纺织品方面。四氯酐与树脂相溶性好,阻燃效率高、成本低、不改变树脂性能。合成材料中加入四氯酐阻燃剂后,遇到火受热会发生分解反应。分解出的氯自由基占合成材料反应产生hcl,hcl与ho–反应使活性很强的游离ho–的浓度减少,燃烧速度减慢,直到火焰熄灭。因此四氯酐是一种很有发展前途的反应型阻燃剂。
合成方法[2][3][4][5]
合成方法1:四氯邻氧化脱水法
使用氧化剂氧化氯代制备四氯二甲酸酐:在高温釜中放入3,4,5,6-四氯50g,氯磺酸500g,碘1.5g,用含钒、钛、钨氧化物的催化剂进行催化反应,温度控制在360~400℃,气相氧化3,4、5,6-四氯,空速保持在4800~8400s-1,催化剂可以烧结v2o5-tio2-wo3来制备,其质量比为(87~92):(5~12):(1~3)。
合成方法2:酐直接氯化法
酐直接氯化法根据氯化条件的不同,可分为(1)以碘或氯化碘为催化剂发烟或氯磺酸为溶剂,合成四氯酐的溶剂法;(2)以mg、fe、sb等作催化剂,酐在熔融下通入氯气制取四氯酐的熔融法;(3)以fecl3、cocl2等lewis酸为催化剂,酐在高温下(200~400℃)气相氯化合成法。酐氯化制备四氯二甲酸酐为环上的亲电取代反应,反应方程式见下图。制备时,酐与发烟按一定的摩尔比投入到带有搅拌、冷凝器的反应器中,加入催化剂,开启搅拌,加热升温,开冷却水,当酐完全溶解后,通人干燥的氯气,反应放出氯化氢气体,经水吸收后成盐酸溶液。终控制反应温度达150℃,反应16h,反应结束。趁热将反应液放入结晶器中,使其自然冷却结晶,经过滤后,得粗品四氯酐。母液可循环使用,精制后称重,收率均稳定在80%以上。工艺流程如下图所示。


应用领域[6][7][8][9]
1.合成染料
溶剂红eg(c.i.溶剂红135)是苉酮型功能溶剂染料,是苉酮类溶剂染料中重要的染料品种,具有优良的耐候耐光性,极好的耐热性能,且色彩鲜艳纯正,广泛应用于各种热塑性塑料的透明或不透明着色,如聚乙烯、abs树脂、聚甲基丙烯酸甲酯树脂、醋酸纤维和聚氯乙烯等的着色,也可用于涤纶纤维和聚酰胺纤维的原浆着色。以四氯二酸酐合成溶剂红eg的反应式如下图所示。以四氯二甲酸酐、1,8-二氨基萘为原料,邻二氯为反应溶剂,冰醋酸作催化剂,优选的工艺条件为四氯二甲酸酐26.5g、1,8二氨基萘15g、邻二氯235g、冰醋酸5g;在115℃下以200转/分钟搅拌反应4小时。产品合成收率为98.03%。样品经聚乙烯着色后,注塑制片成型,测定的色差相对于高质量标准品为0.18,着色率为99.87%。

2.用作阻燃剂
四氯二甲酸酐是性能优异的阻燃材料,能显著改性易燃物质的燃烧性能,增加产品的适用性和应用价值。如采用以四氯酐为反应型阻燃剂,以卤代磷酸酯为添加型阻燃剂合成新型阻燃不饱和聚酯树脂。流程如下图所示。具体步骤是:向缩聚釜内加人二元醇,将液体组份加热到达100℃左右,开动搅拌器,向醇中通入惰性气体氮气,逐次加入四氯酐、富马酸、邻二甲酸酐等固体料,加入0.01-0.02%的阻聚剂,继续搅拌升温至190~200℃后,即维持温度,在此期间,反应进行很快,产生大量的水,开分馏柱冷凝器,控制馏出温度在100~105℃之间以利醇回流,开回收冷凝器的降温水阀,使反应水与代水醇回收直到反应终点,釜内蛇型管通冷水降温至160℃加石蜡等填料,将物料放到稀释釜内降温至85℃加乙烯交联,加入bcp。降温至40℃即为成品。改性后的高阻燃性树脂各项性能均达到国标要求。

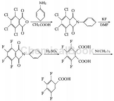
3.合成医药中间体
2,3,4,5-四氟甲酸是合成新型氟喹诺酮抗菌药的重要中间体,主要用于合成喹诺酮类药物洛美沙星、氧氟沙星、芦氟沙星、司氟沙星等。该中间体可由四氯二甲酸酐制备,其反应式如下,主要经酰亚胺化、氟化、水解和脱羧4步反应合成四氟甲酸。

主要参考资料
[1] 张亨. 几种重要的有机氯系阻燃剂[j]. 中国氯碱, 2002(7):25-27.
[2] su 1719401
[3] 张越, 刘海霞, 杨牧. 四氯酐的制备[j]. 化学推进剂与高分子材料, 1999(5):23-24.
[4] 王维建, 徐学波. 四氯邻二甲酸酐的合成[j]. 化工新型材料, 2000(5):21-22.
[5] 张亚静, 杨建平, 叶斌, et al. 溶剂法合成四氯酐工艺的改进[j]. 精细石油化工进展, 2001, 2(5):1-3.
[6] 左新举, 许德先. 溶剂红eg合成工艺研究[j]. 染料与染色, 2011, 48(4):1-4.
[7] 姚波, 于秀英. 四氯酐阻燃高强度不饱和聚酯树脂工程化研究[j]. 黑龙江科技信息, 2002(9):57-57.
[8] 蔡星伟, 赵玉媛, 姜大伟, et al. 2,3,4,5-四氟甲酸的合成及工艺优化[j]. 精细石油化工, 2012, 29(3):52-54.
[9] 付春. 2,3,4,5-四氟甲酸的合成与应用[j]. 精细与专用化学品, 2001, 9(21):18-21.



